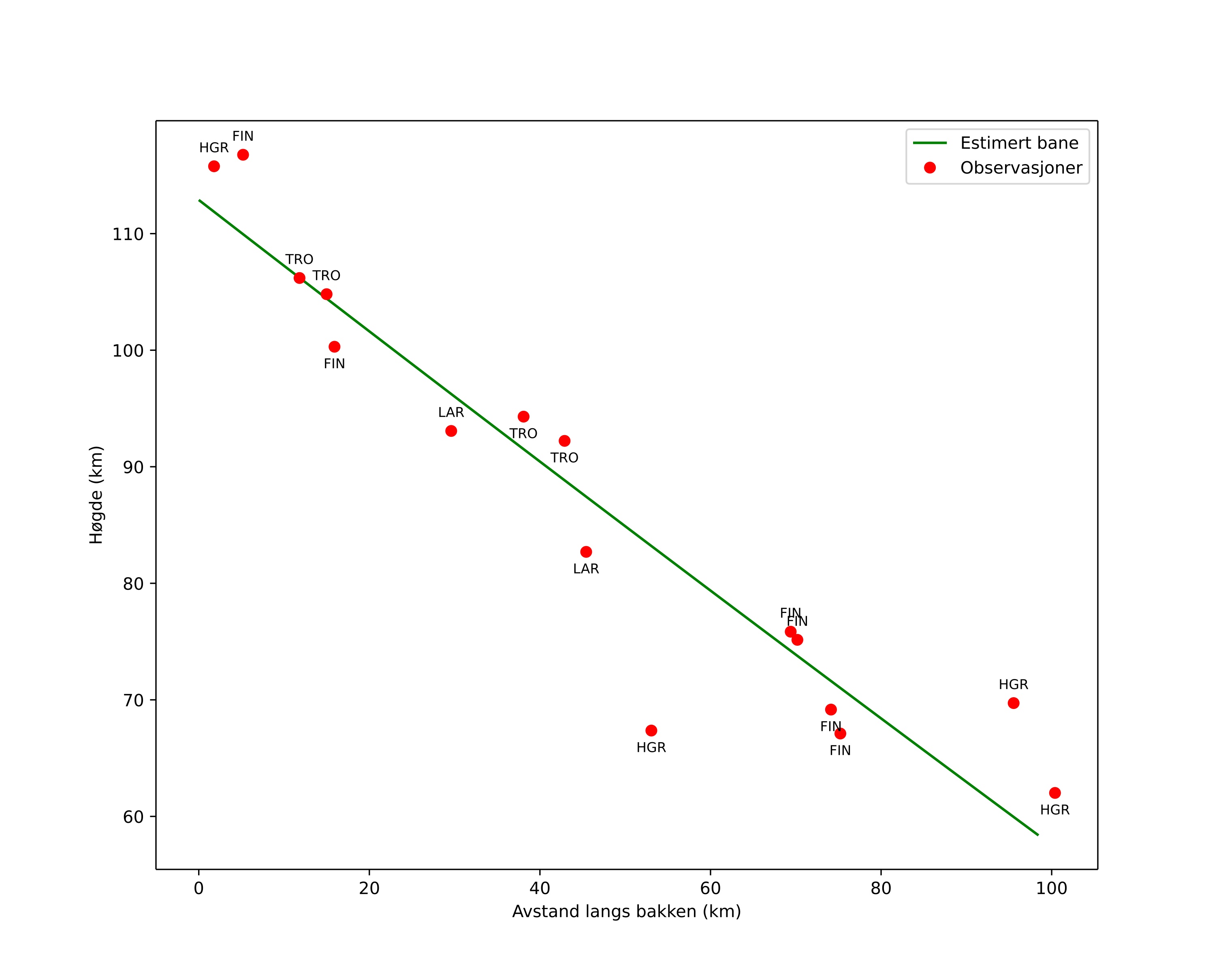
Atmosférická dráha meteoru:
| Počátečnà výška: | 112,9 km |
| Konečná výška: | 58,4 km |
| Počátečnà poloha: | 62,219N 11,637E |
| Konečná poloha: | 61,634N 10,224E |
| Směr: | 229,3° |
| Sklon: | 29,0° |
| VstupnĂ rychlost: | 75,4 km/s |
| Rektascenze radiantu: | 18:25 (276,4°) |
| Deklinace radiantu: | 43,7° |
| MeteorickĂ˝ roj: | sporadickĂ˝ |
|
Elementy dráhy meteoroidu:
| Vzdálenost v periheliu: | 0,903 AU |
| Excentricita: | 5,467 |
| Sklon dráhy: | 69,3° |
| Délka vzestupného uzlu: | 290,5° |
| Argument perihelia: | 154,6° |
| Střednà anomálie: | 100,0° |
| Epocha: | 2026 JAN 11 02:45:16 |
|