🇳🇴 🇬🇧 🇩🇪 🇨🇿 🇫🇮

Meteor, poloha: Rjukan 2026-01-11 02:51:38 UTC

Soubor KML  |  InteraktivnĂ­ mapa

Mapa zobrazuje dráhy meteoru. Světlejší čáry ukazují směry od pozorovacích stanic při objevení se meteoru a tmavší čáry, kde byl naposledy viděn. Modrá šipka značí viditelnou dráhu meteoru.

static map
height profile
wind profile
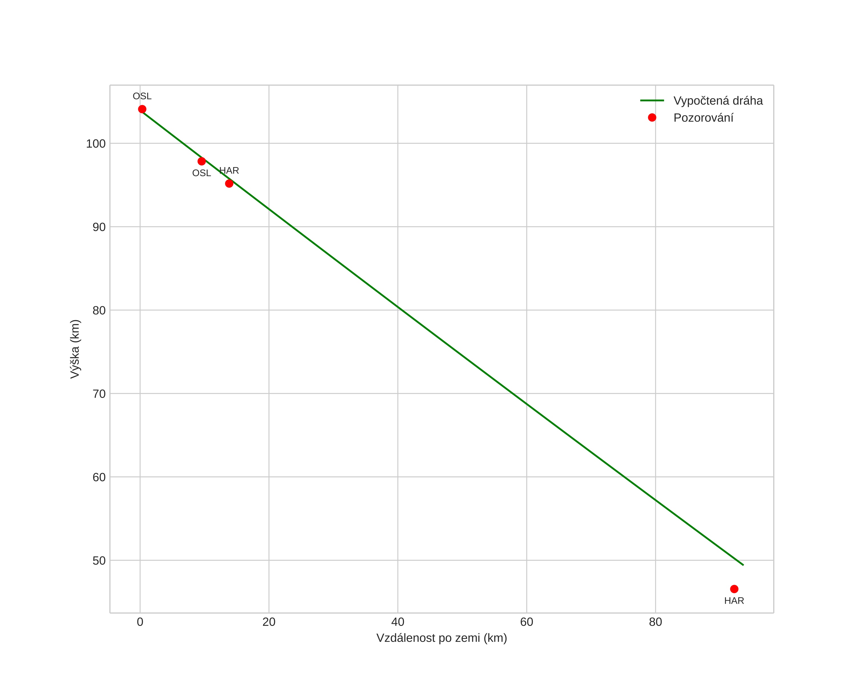
Atmosférická dráha meteoru:
Počáteční výška: 104,0 km
Konečná výška: 49,4 km
Počáteční poloha: 60,350N 6,765E
Konečná poloha: 60,235N 8,449E
Směr: 97,1°
Sklon: 30,2°
VstupnĂ­ rychlost: 224,5 km/s
Rektascenze radiantu: 05:20 (80,2°)
Deklinace radiantu: 29,2°
MeteorickĂ˝ roj: sporadickĂ˝
Elementy dráhy meteoroidu:
Vzdálenost v periheliu: 0,570 AU
Excentricita: 36,985
Sklon dráhy: 9,8°
Délka vzestupného uzlu: 290,5°
Argument perihelia: 235,4°
Střední anomálie: -2864,8°
Epocha: 2026 JAN 11 02:51:38
orbit plot

NeinteraktivnĂ­ graf | InteraktivnĂ­ graf

position vs time
speed and acceleration

Harestua (HAR) cam5


gnomonic
Videa
• Gnomonická
• Gnomonická se souřadnicemi
• Původní
• Původní se souřadnicemi
Obrázky
• Gnomonická
• Gnomonická se souřadnicemi
• Původní
• Původní se souřadnicemi
Textové soubory
• Detekce
• Pozorování
• Souřadnice
• Protokol
Jasnost

Voksenlia (OSL) cam2


gnomonic
Videa
• Gnomonická
• Gnomonická se souřadnicemi
• Původní
• Původní se souřadnicemi
Obrázky
• Gnomonická
• Gnomonická se souřadnicemi
• Původní
• Původní se souřadnicemi
Textové soubory
• Detekce
• Pozorování
• Souřadnice
• Protokol
Jasnost