Meteorens atmosfæriske bane:
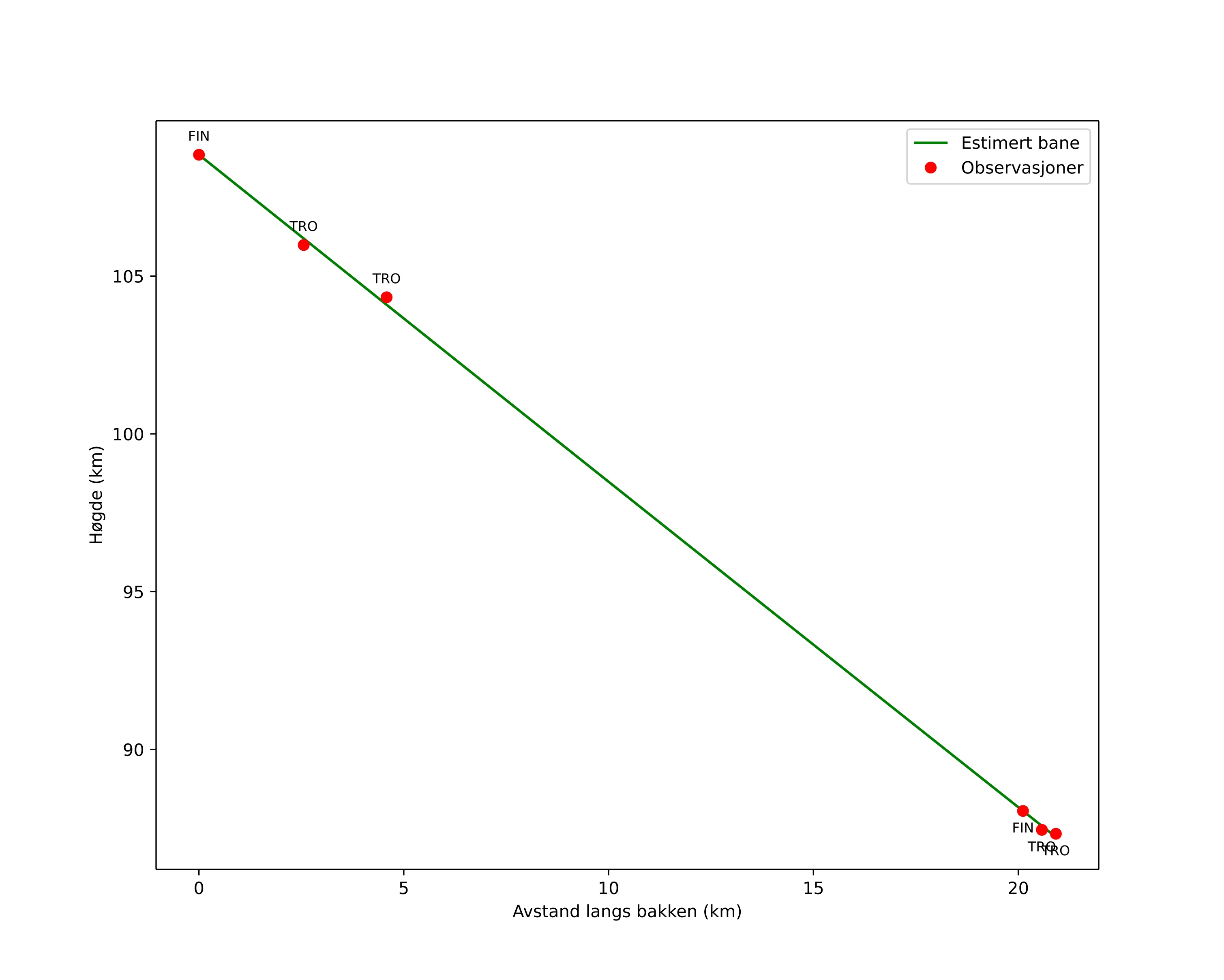
| Starthøgde: | 108,8 km |
| Slutthøgde: | 87,3 km |
| Startposisjon: | 63,582N 7,164E |
| Sluttposisjon: | 63,761N 7,035E |
| Retning: | 342,3° |
| Fallvinkel: | 45,9° |
| Inngangshastighet: | 64,6 km/s |
| Radiantens rektascensjon: | 12:33 (188,4°) |
| Radiantens deklinasjon: | 20,1° |
| Meteorsverm: | desember-leonis-minoridene |
|
Meteoroidens baneelement:
| Perihelavstand: | 0,684 AU |
| Eksentrisitet: | 0,857 |
| Inklinasjon: | 136,5° |
| Knutelengde: | 290,6° |
| Perihelargument: | 250,1° |
| Midlere anomali: | 356,4° |
| Epoke: | 2026 JAN 11 03:52:16 |
|