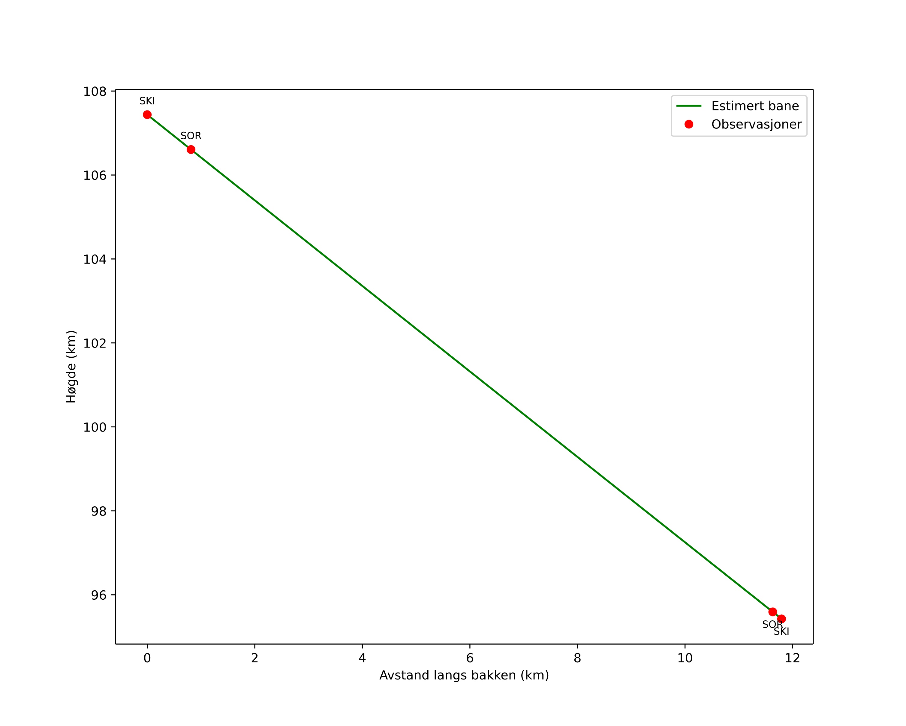
Atmosférická dráha meteoru:
| Počátečnà výška: | 107,4 km |
| Konečná výška: | 95,4 km |
| Počátečnà poloha: | 66,399N 16,462E |
| Konečná poloha: | 66,503N 16,407E |
| Směr: | 348,1° |
| Sklon: | 45,5° |
| VstupnĂ rychlost: | 73,0 km/s |
| Rektascenze radiantu: | 12:14 (183,7°) |
| Deklinace radiantu: | 22,1° |
| MeteorickĂ˝ roj: | desember-leonis-minoridene |
|
Elementy dráhy meteoroidu:
| Vzdálenost v periheliu: | 0,672 AU |
| Excentricita: | 1,534 |
| Sklon dráhy: | 137,7° |
| Délka vzestupného uzlu: | 291,6° |
| Argument perihelia: | 241,5° |
| Střednà anomálie: | -19,8° |
| Epocha: | 2026 JAN 12 03:08:49 |
|