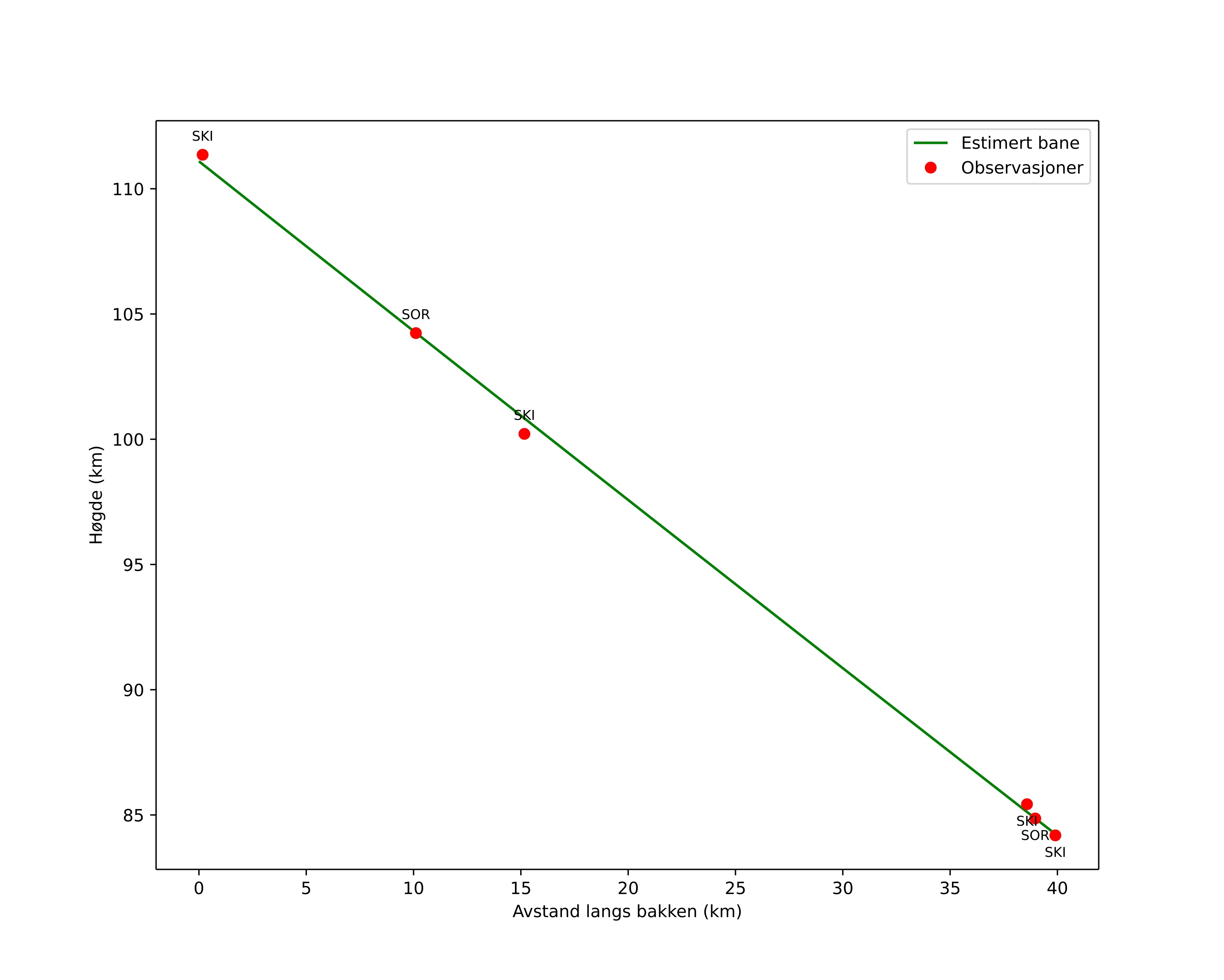
Meteorens atmosfæriske bane:
| Starthøgde: | 111,1 km |
| Slutthøgde: | 84,2 km |
| Startposisjon: | 66,866N 20,868E |
| Sluttposisjon: | 67,071N 21,620E |
| Retning: | 54,7° |
| Fallvinkel: | 34,0° |
| Inngangshastighet: | 71,4 km/s |
| Radiantens rektascensjon: | 11:41 (175,4°) |
| Radiantens deklinasjon: | 18,7° |
| Meteorsverm: | desember-leonis-minoridene |
|
Meteoroidens baneelement:
| Perihelavstand: | 0,487 AU |
| Eksentrisitet: | 1,361 |
| Inklinasjon: | 144,9° |
| Knutelengde: | 291,7° |
| Perihelargument: | 262,9° |
| Midlere anomali: | -19,8° |
| Epoke: | 2026 JAN 12 05:56:22 |
|