🇳🇴 🇬🇧 🇩🇪 🇨🇿 🇫🇮

Meteor over Kittilä 2026-01-14 19:01:13 UTC

KML-fil  |  Interaktivt kart

Kartet viser peilingene for meteoren. De lysere linjene viser retningene fra observasjonsstedene for meteorens tilsynekomst, og de mørkere linjene viser hvor den sist kunne sees. Den blå pila viser meteorens synlige ferd.

static map
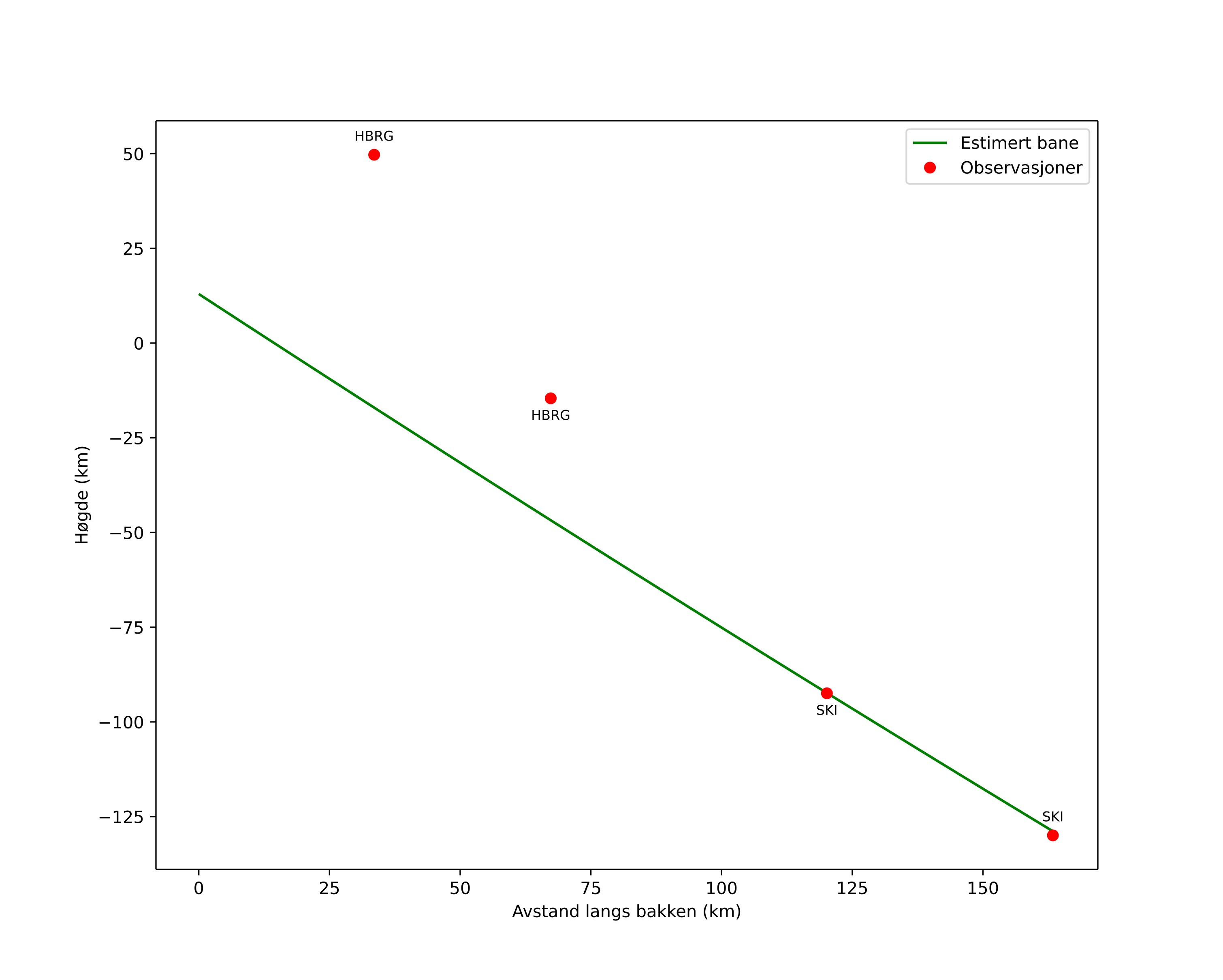
height profile
Meteorens atmosfæriske bane:
Starthøgde: 13,0 km
Slutthøgde: -129,2 km
Startposisjon: 68,728N 21,995E
Sluttposisjon: 67,615N 24,591E
Retning: 137,8°
Fallvinkel: 41,0°
position vs time
speed and acceleration

Skibotn (SKI) cam1


gnomonic
Videoer
• Gnomonisk
• Gnomonisk med koordinater
• Original
• Original med koordinater
Bilder
• Gnomonisk
• Gnomonisk med koordinater
• Original
• Original med koordinater
Tekstfiler
• Deteksjon
• Observasjon
• Koordinater
• Logg
Lysstyrke