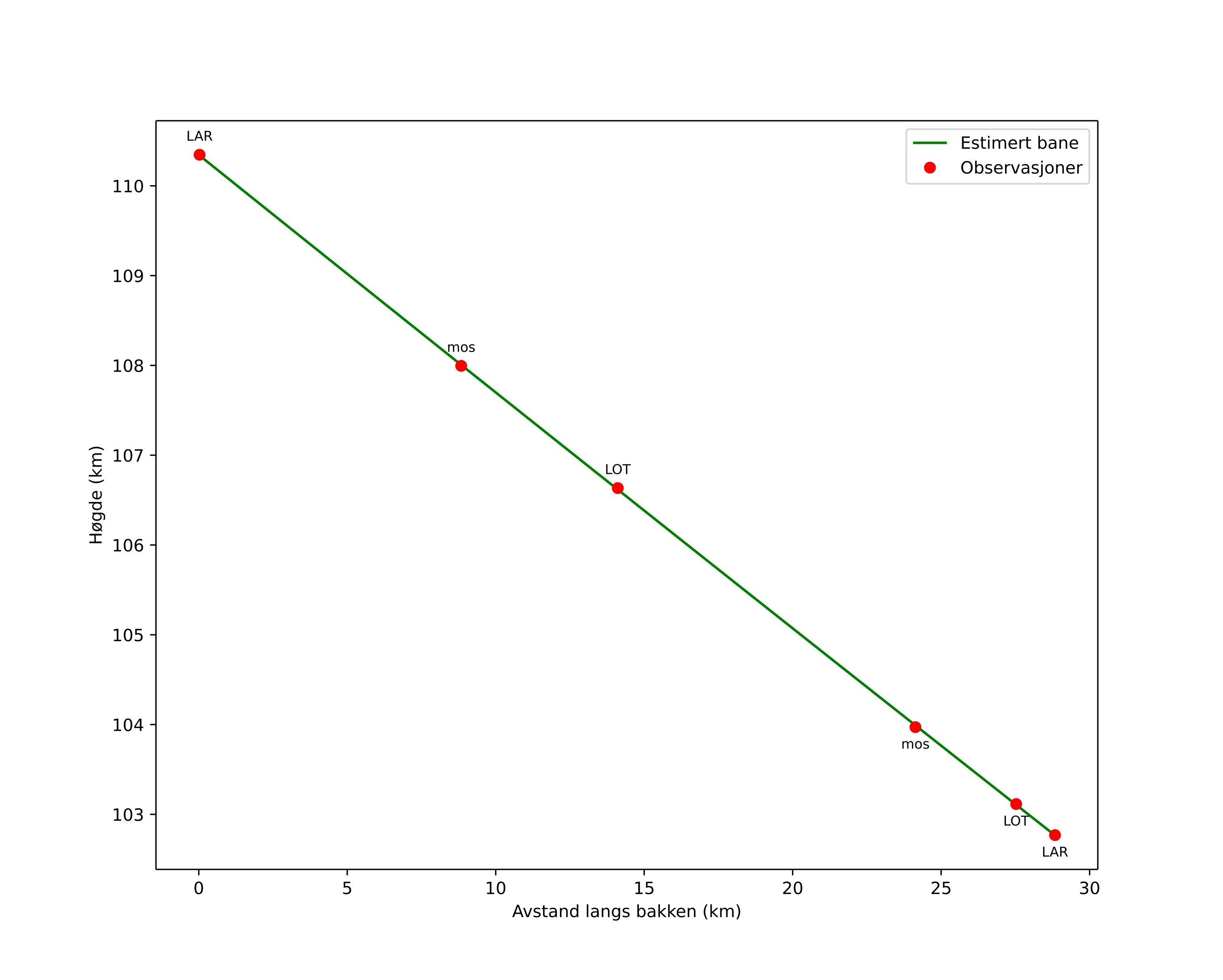
Meteorens atmosfæriske bane:
| Starthøgde: | 110,3 km |
| Slutthøgde: | 102,8 km |
| Startposisjon: | 59,017N 9,992E |
| Sluttposisjon: | 58,949N 9,507E |
| Retning: | 254,8° |
| Fallvinkel: | 14,6° |
| Inngangshastighet: | 63,4 km/s |
| Radiantens rektascensjon: | 12:15 (184,0°) |
| Radiantens deklinasjon: | 19,9° |
| Meteorsverm: | desember-leonis-minoridene |
|
Meteoroidens baneelement:
| Perihelavstand: | 0,497 AU |
| Eksentrisitet: | 0,928 |
| Inklinasjon: | 134,9° |
| Knutelengde: | 294,4° |
| Perihelargument: | 271,6° |
| Midlere anomali: | 357,9° |
| Epoke: | 2026 JAN 14 21:37:10 |
|