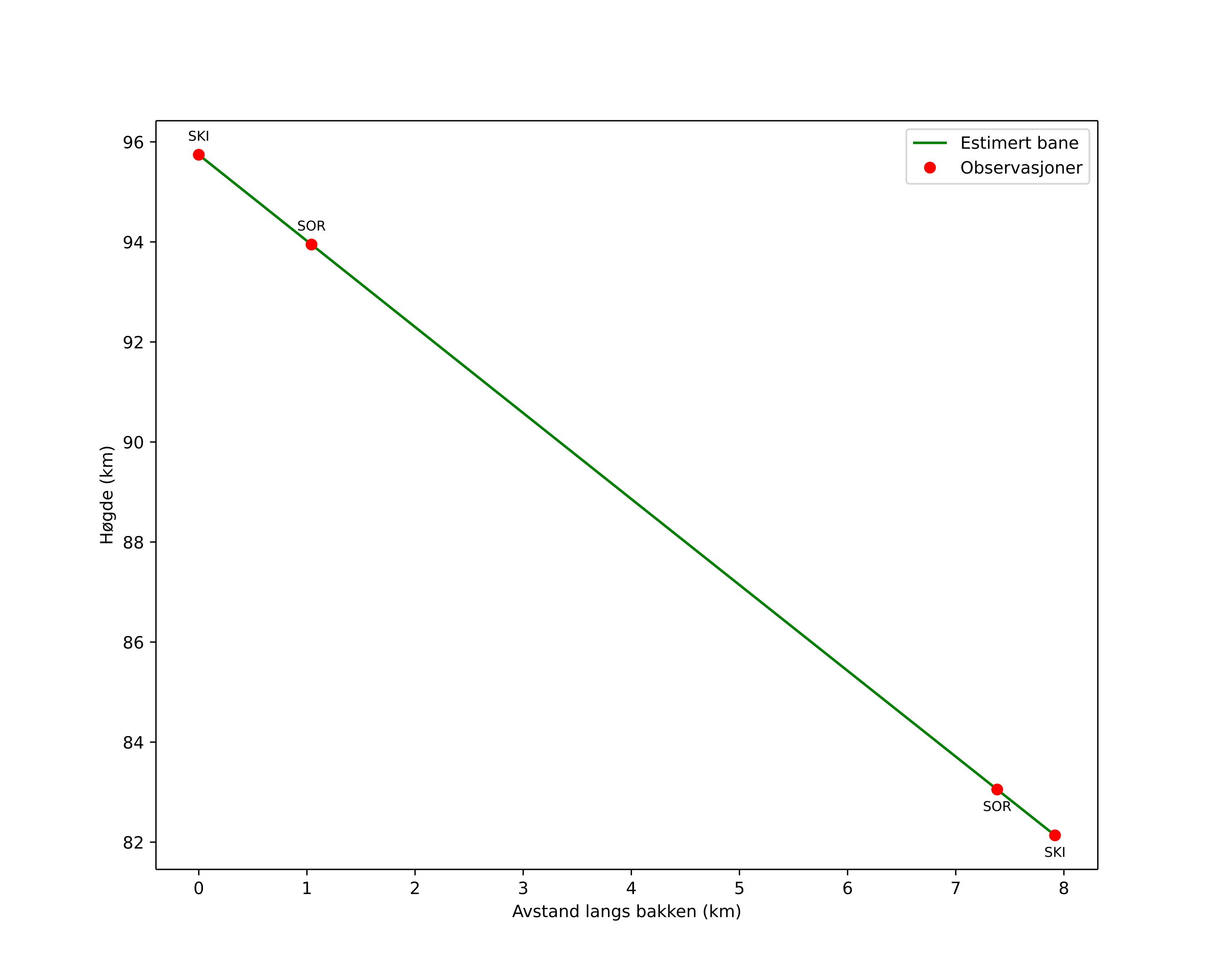
Atmosférická dráha meteoru:
| Počátečnà výška: | 95,7 km |
| Konečná výška: | 82,1 km |
| Počátečnà poloha: | 71,236N 21,088E |
| Konečná poloha: | 71,228N 20,868E |
| Směr: | 263,7° |
| Sklon: | 59,8° |
| VstupnĂ rychlost: | 47,2 km/s |
| Rektascenze radiantu: | 15:22 (230,5°) |
| Deklinace radiantu: | 56,5° |
| MeteorickĂ˝ roj: | sporadickĂ˝ |
|
Elementy dráhy meteoroidu:
| Vzdálenost v periheliu: | 0,977 AU |
| Excentricita: | 1,287 |
| Sklon dráhy: | 71,2° |
| Délka vzestupného uzlu: | 294,6° |
| Argument perihelia: | 189,2° |
| Střednà anomálie: | -0,9° |
| Epocha: | 2026 JAN 15 01:57:14 |
|