🇳🇴 🇬🇧 🇩🇪 🇨🇿 🇫🇮

Meteor over Munkedal 2026-01-17 01:57:44 UTC

KML-fil  |  Interaktivt kart

Kartet viser peilingene for meteoren. De lysere linjene viser retningene fra observasjonsstedene for meteorens tilsynekomst, og de mørkere linjene viser hvor den sist kunne sees. Den blå pila viser meteorens synlige ferd.

static map
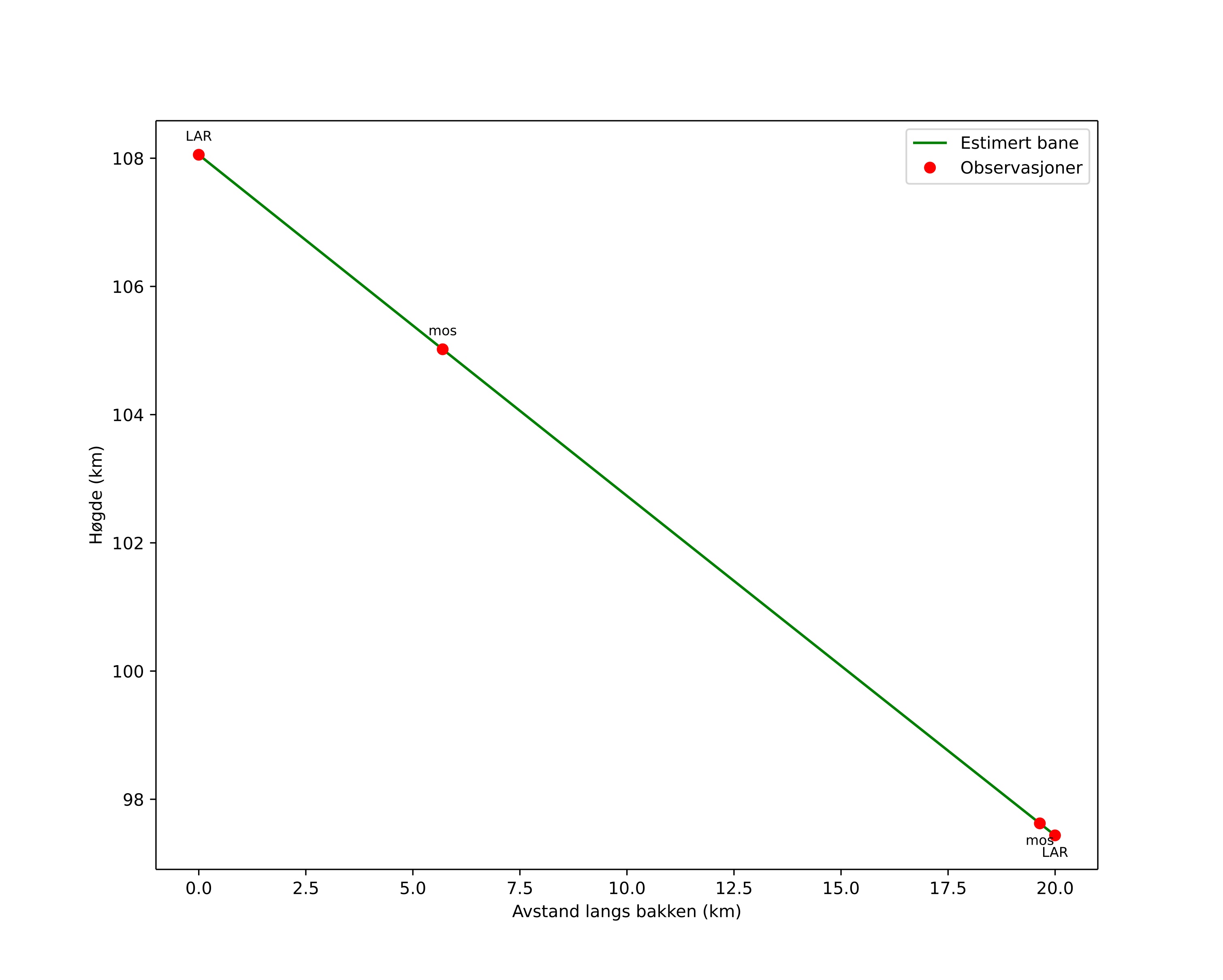
height profile
Meteorens atmosfæriske bane:
Starthøgde: 107,3 km
Slutthøgde: 97,3 km
Startposisjon: 58,571N 11,693E
Sluttposisjon: 58,736N 11,633E
Retning: 349,3°
Fallvinkel: 28,2°
Inngangshastighet: 68,6 km/s
Radiantens rektascensjon: 11:05 (166,5°)
Radiantens deklinasjon: -3,1°
Meteorsverm: sporadisk
Meteoroidens baneelement:
Perihelavstand: 0,305 AU
Eksentrisitet: 1,166
Inklinasjon: 157,0°
Knutelengde: 116,6°
Perihelargument: 106,4°
Midlere anomali: -12,7°
Epoke: 2026 JAN 17 01:57:44
orbit plot

Ikke-interaktivt plott | Interaktivt plott

position vs time
speed and acceleration

Larvik (LAR) cam3


gnomonic
Videoer
• Gnomonisk
• Gnomonisk med koordinater
• Original
• Original med koordinater
Bilder
• Gnomonisk
• Gnomonisk med koordinater
• Original
• Original med koordinater
Tekstfiler
• Deteksjon
• Observasjon
• Koordinater
• Logg
Lysstyrke

Moss (mos) cam7


gnomonic
Videoer
• Gnomonisk
• Gnomonisk med koordinater
• Original
• Original med koordinater
Bilder
• Gnomonisk
• Gnomonisk med koordinater
• Original
• Original med koordinater
Tekstfiler
• Deteksjon
• Observasjon
• Koordinater
• Logg
Lysstyrke