🇳🇴 🇬🇧 🇩🇪 🇨🇿 🇫🇮

Meteor über Sjøvegan 2026-01-19 04:28:54 UTC

KML-Datei  |  Interaktive Karte

Die Karte zeigt die Peilungen für den Meteor. Die helleren Linien zeigen die Richtungen von den Beobachtungsorten beim Erscheinen des Meteors, und die dunkleren Linien, wo er zuletzt gesehen wurde. Der blaue Pfeil zeigt die sichtbare Bahn des Meteors.

static map
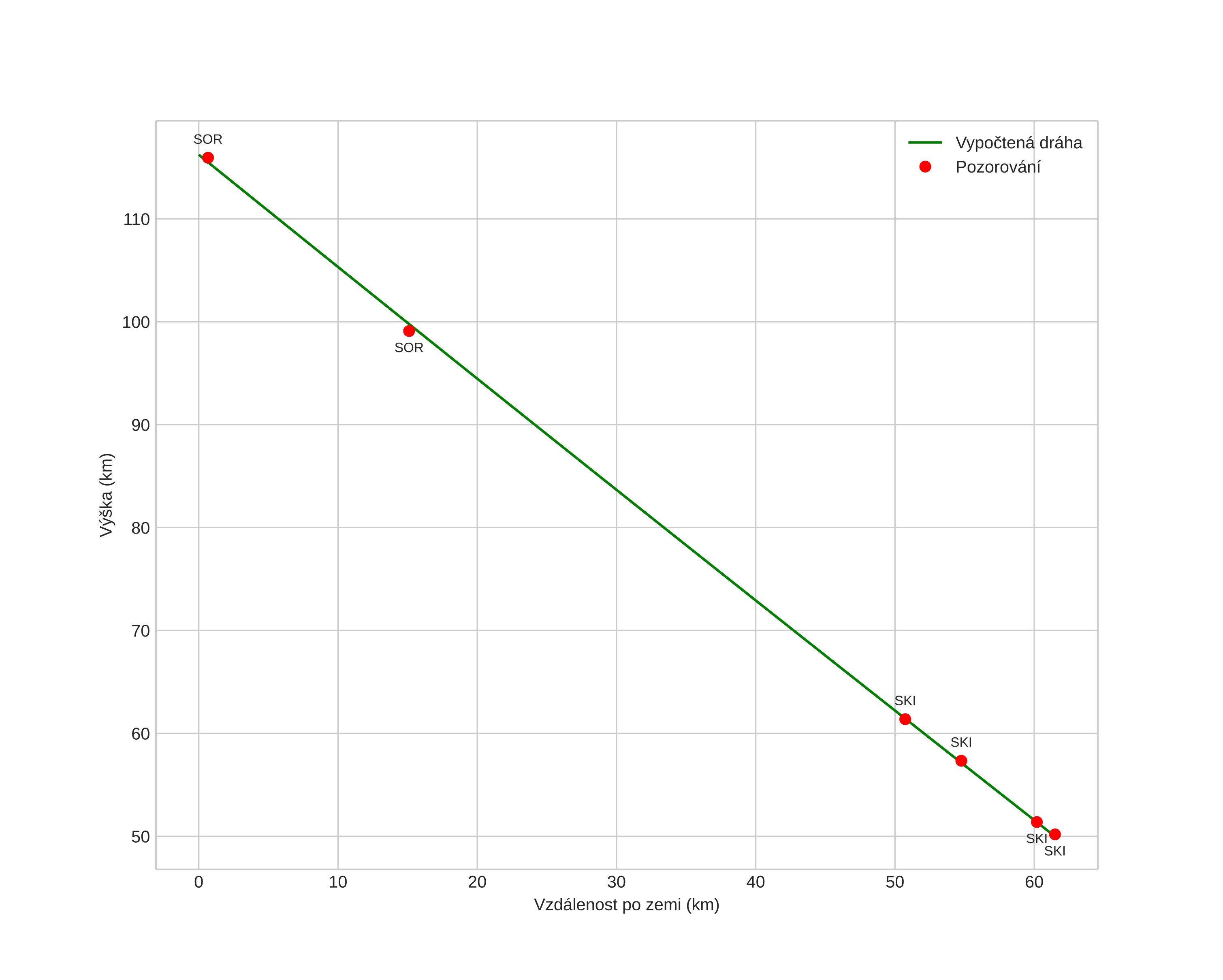
height profile
Atmosphärische Bahn des Meteors:
Anfangshöhe: 92,9 km
Endhöhe: 43,9 km
Startposition: 68,725N 17,648E
Endposition: 68,954N 18,020E
Richtung: 30,2°
Neigungswinkel: 59,0°
Eintrittsgeschwindigkeit: 70,7 km/s
Rektaszension des Radianten: 12:12 (183,2°)
Deklination des Radianten: 39,4°
Meteorstrom: sporadisch
Bahnelemente des Meteoroiden:
Periheldistanz: 0,645 AU
Exzentrizität: 2,131
Inklination: 103,3°
Länge des aufsteigenden Knotens: 298,7°
Argument des Perihels: 240,4°
Mittlere Anomalie: -55,4°
Epoche: 2026 JAN 19 04:28:54
orbit plot

Nicht-interaktives Diagramm | Interaktives Diagramm

position vs time
speed and acceleration

Skibotn (SKI) cam5


gnomonic
Videos
• Gnomonisch
• Gnomonisch mit Koordinaten
• Original
• Original mit Koordinaten
Bilder
• Gnomonisch
• Gnomonisch mit Koordinaten
• Original
• Original mit Koordinaten
Textdateien
• Erkennung
• Beobachtung
• Koordinaten
• Protokoll
Helligkeit

Sorreisa (SOR) cam7


gnomonic
Videos
• Gnomonisch
• Gnomonisch mit Koordinaten
• Original
• Original mit Koordinaten
Bilder
• Gnomonisch
• Gnomonisch mit Koordinaten
• Original
• Original mit Koordinaten
Textdateien
• Erkennung
• Beobachtung
• Koordinaten
• Protokoll
Helligkeit