🇳🇴 🇬🇧 🇩🇪 🇨🇿 🇫🇮

Meteor over Sandarne 2026-01-21 17:47:05 UTC

KML-fil  |  Interaktivt kart

Kartet viser peilingene for meteoren. De lysere linjene viser retningene fra observasjonsstedene for meteorens tilsynekomst, og de mørkere linjene viser hvor den sist kunne sees. Den blå pila viser meteorens synlige ferd.

static map
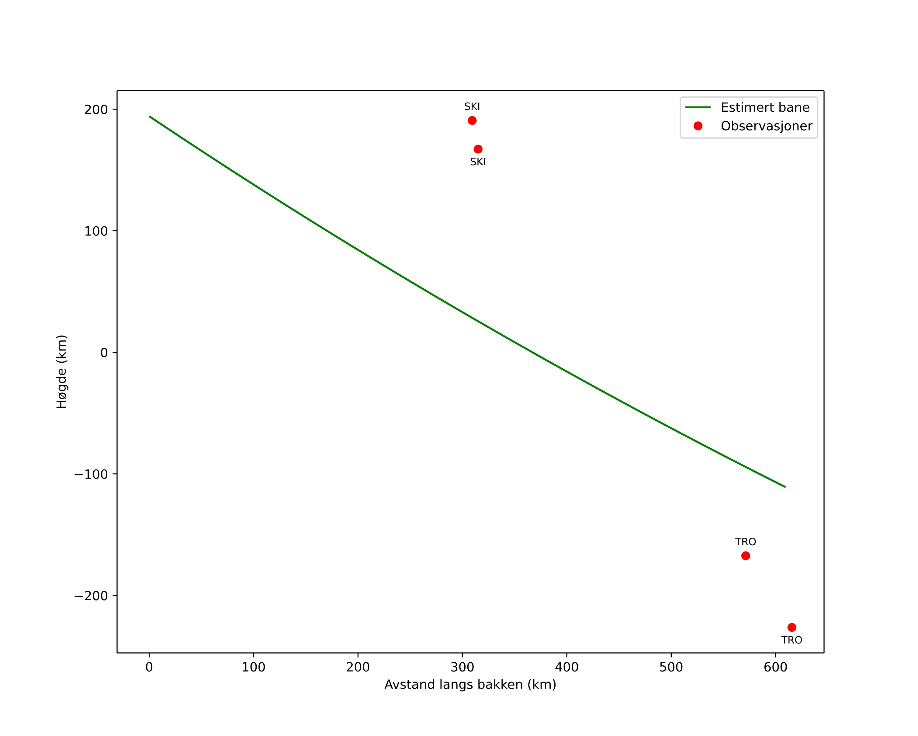
height profile
Meteorens atmosfæriske bane:
Starthøgde: 194,2 km
Slutthøgde: -110,9 km
Startposisjon: 66,554N 14,641E
Sluttposisjon: 61,263N 17,922E
Retning: 163,3°
Fallvinkel: 26,6°
Inngangshastighet: 36,2 km/s
Radiantens rektascensjon: 16:20 (245,2°)
Radiantens deklinasjon: 47,0°
Meteorsverm: sporadisk
Meteoroidens baneelement:
Perihelavstand: 0,972 AU
Eksentrisitet: 0,448
Inklinasjon: 62,0°
Knutelengde: 301,3°
Perihelargument: 163,5°
Midlere anomali: 5,7°
Epoke: 2026 JAN 21 17:47:05
orbit plot

Ikke-interaktivt plott | Interaktivt plott

position vs time
speed and acceleration

Skibotn (SKI) cam3


gnomonic
Videoer
• Gnomonisk
• Gnomonisk med koordinater
• Original
• Original med koordinater
Bilder
• Gnomonisk
• Gnomonisk med koordinater
• Original
• Original med koordinater
Tekstfiler
• Deteksjon
• Observasjon
• Koordinater
• Logg
Lysstyrke

Trondheim (TRO) cam5


gnomonic
Videoer
• Gnomonisk
• Gnomonisk med koordinater
• Original
• Original med koordinater
Bilder
• Gnomonisk
• Gnomonisk med koordinater
• Original
• Original med koordinater
Tekstfiler
• Deteksjon
• Observasjon
• Koordinater
• Logg
Lysstyrke