🇳🇴
🇬🇧
🇩🇪
🇨🇿
🇫🇮
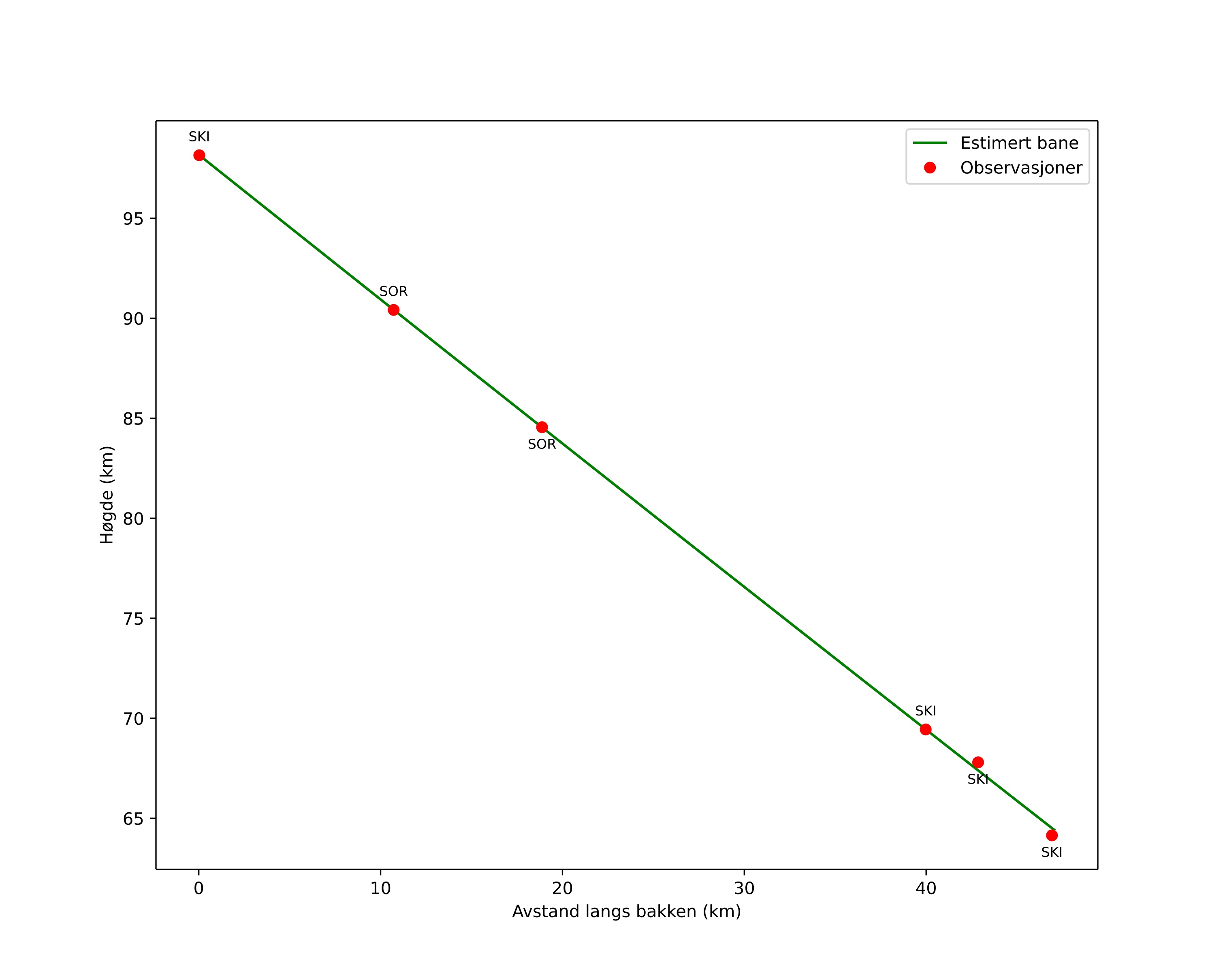
Zpráva o meteoru 2026-01-21 22:09:39 UTC
Sorreisa (SOR) cam7
Videa
•
Gnomonická
•
Gnomonická se souřadnicemi
•
Původní
•
Původní se souřadnicemi
Obrázky
•
Gnomonická
•
Gnomonická se souřadnicemi
•
Původní
•
Původní se souřadnicemi
Textové soubory
•
Detekce
•
Pozorování
•
Souřadnice
•
Protokol