🇳🇴 🇬🇧 🇩🇪 🇨🇿 🇫🇮

Meteor over Starodub 2026-01-22 01:31:33 UTC

KML-fil  |  Interaktivt kart

Kartet viser peilingene for meteoren. De lysere linjene viser retningene fra observasjonsstedene for meteorens tilsynekomst, og de mørkere linjene viser hvor den sist kunne sees. Den blå pila viser meteorens synlige ferd.

static map
height profile
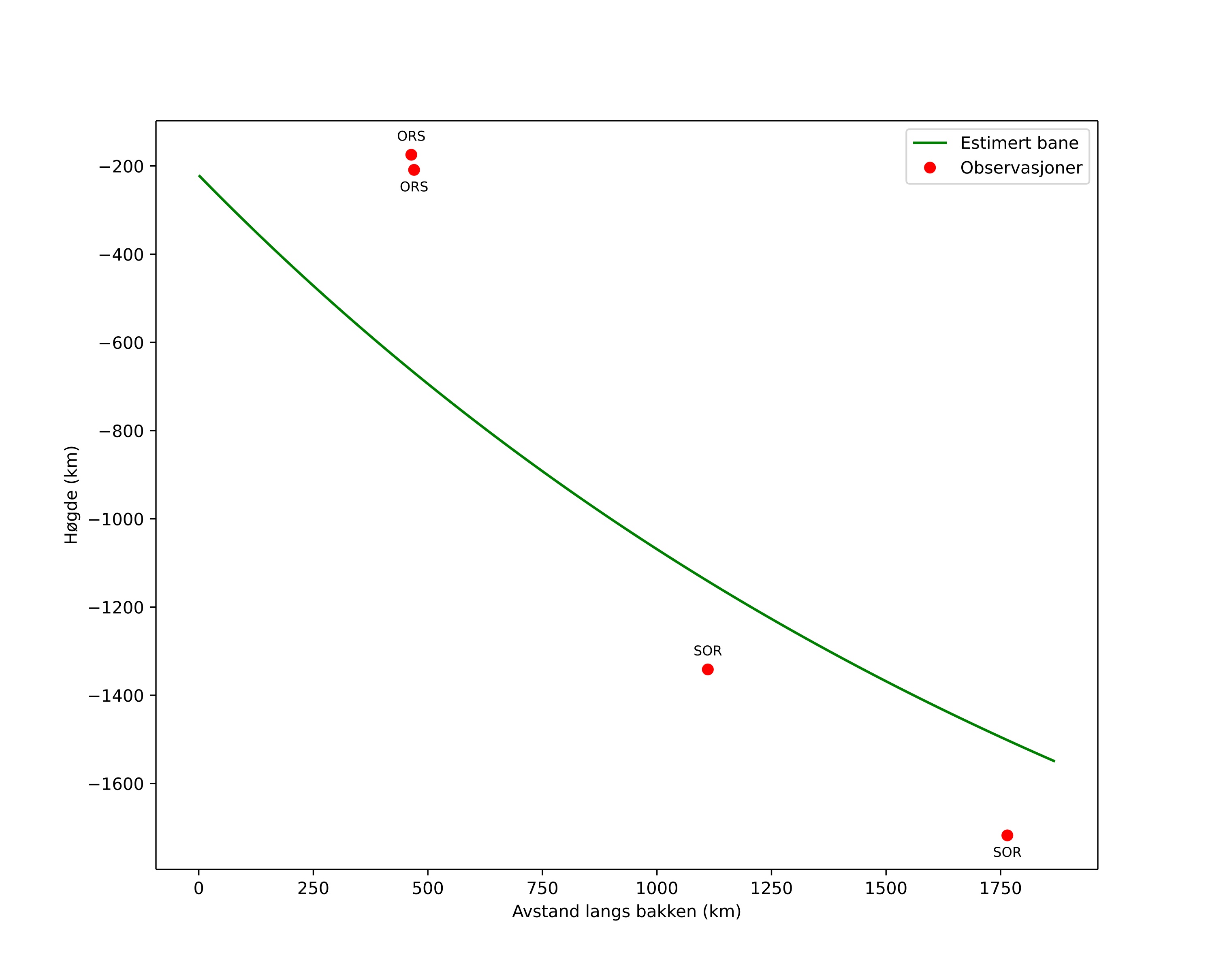
Meteorens atmosfæriske bane:
Starthøgde: -221,1 km
Slutthøgde: -1550,1 km
Startposisjon: 65,465N 11,248E
Sluttposisjon: 52,565N 32,692E
Retning: 129,8°
Fallvinkel: 35,4°
Inngangshastighet: 73,0 km/s
Radiantens rektascensjon: 02:58 (44,5°)
Radiantens deklinasjon: 47,5°
Meteorsverm: sporadisk
Meteoroidens baneelement:
Perihelavstand: 0,944 AU
Eksentrisitet: 9,286
Inklinasjon: 22,0°
Knutelengde: 301,7°
Perihelargument: 197,3°
Midlere anomali: -131,9°
Epoke: 2026 JAN 22 01:31:33
orbit plot

Ikke-interaktivt plott | Interaktivt plott

position vs time
speed and acceleration

Orsta (ORS) cam6


gnomonic
Videoer
• Gnomonisk
• Gnomonisk med koordinater
• Original
• Original med koordinater
Bilder
• Gnomonisk
• Gnomonisk med koordinater
• Original
• Original med koordinater
Tekstfiler
• Deteksjon
• Observasjon
• Koordinater
• Logg
Lysstyrke

Sorreisa (SOR) cam6


gnomonic
Videoer
• Gnomonisk
• Gnomonisk med koordinater
• Original
• Original med koordinater
Bilder
• Gnomonisk
• Gnomonisk med koordinater
• Original
• Original med koordinater
Tekstfiler
• Deteksjon
• Observasjon
• Koordinater
• Logg
Lysstyrke