🇳🇴 🇬🇧 🇩🇪 🇨🇿 🇫🇮

Meteor over Falkhytta 2026-01-24 03:51:41 UTC

KML-fil  |  Interaktivt kart

Kartet viser peilingene for meteoren. De lysere linjene viser retningene fra observasjonsstedene for meteorens tilsynekomst, og de mørkere linjene viser hvor den sist kunne sees. Den blå pila viser meteorens synlige ferd.

static map
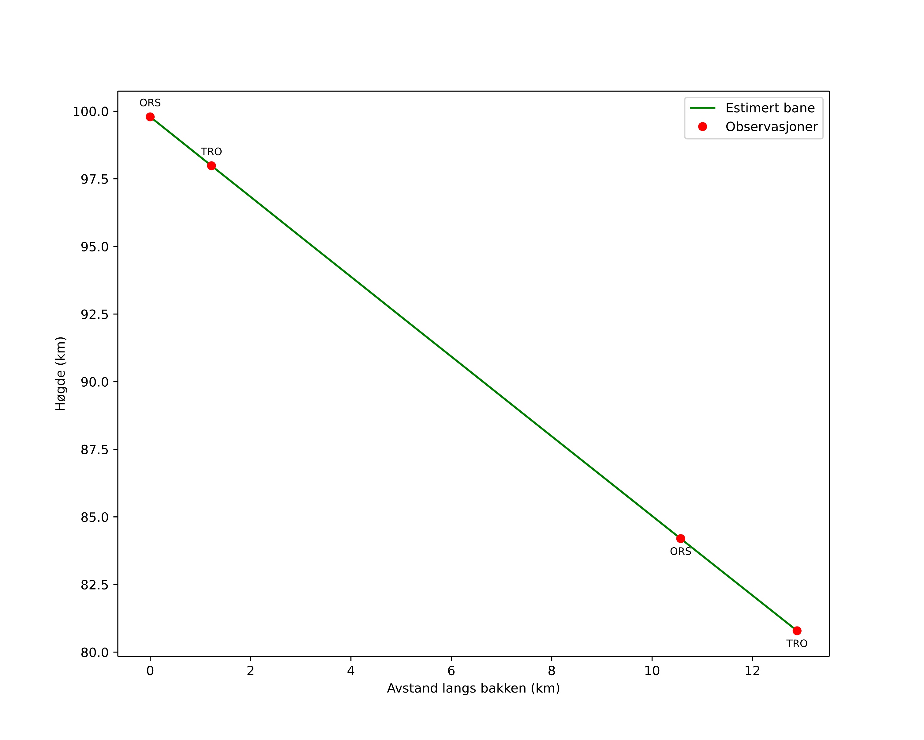
height profile
Meteorens atmosfæriske bane:
Starthøgde: 99,8 km
Slutthøgde: 80,8 km
Startposisjon: 63,745N 6,533E
Sluttposisjon: 63,845N 6,400E
Retning: 329,6°
Fallvinkel: 55,8°
Inngangshastighet: 65,1 km/s
Radiantens rektascensjon: 13:47 (206,9°)
Radiantens deklinasjon: 31,7°
Meteorsverm: sporadisk
Meteoroidens baneelement:
Perihelavstand: 0,848 AU
Eksentrisitet: 1,441
Inklinasjon: 110,6°
Knutelengde: 303,8°
Perihelargument: 220,0°
Midlere anomali: -8,3°
Epoke: 2026 JAN 24 03:51:41
orbit plot

Ikke-interaktivt plott | Interaktivt plott

position vs time
speed and acceleration

Orsta (ORS) cam5


gnomonic
Videoer
• Gnomonisk
• Gnomonisk med koordinater
• Original
• Original med koordinater
Bilder
• Gnomonisk
• Gnomonisk med koordinater
• Original
• Original med koordinater
Tekstfiler
• Deteksjon
• Observasjon
• Koordinater
• Logg
Lysstyrke

Trondheim (TRO) cam5


gnomonic
Videoer
• Gnomonisk
• Gnomonisk med koordinater
• Original
• Original med koordinater
Bilder
• Gnomonisk
• Gnomonisk med koordinater
• Original
• Original med koordinater
Tekstfiler
• Deteksjon
• Observasjon
• Koordinater
• Logg
Lysstyrke