🇳🇴 🇬🇧 🇩🇪 🇨🇿 🇫🇮

Meteor over Skreia 2026-01-26 02:16:17 UTC

KML-fil  |  Interaktivt kart

Kartet viser peilingene for meteoren. De lysere linjene viser retningene fra observasjonsstedene for meteorens tilsynekomst, og de mørkere linjene viser hvor den sist kunne sees. Den blå pila viser meteorens synlige ferd.

static map
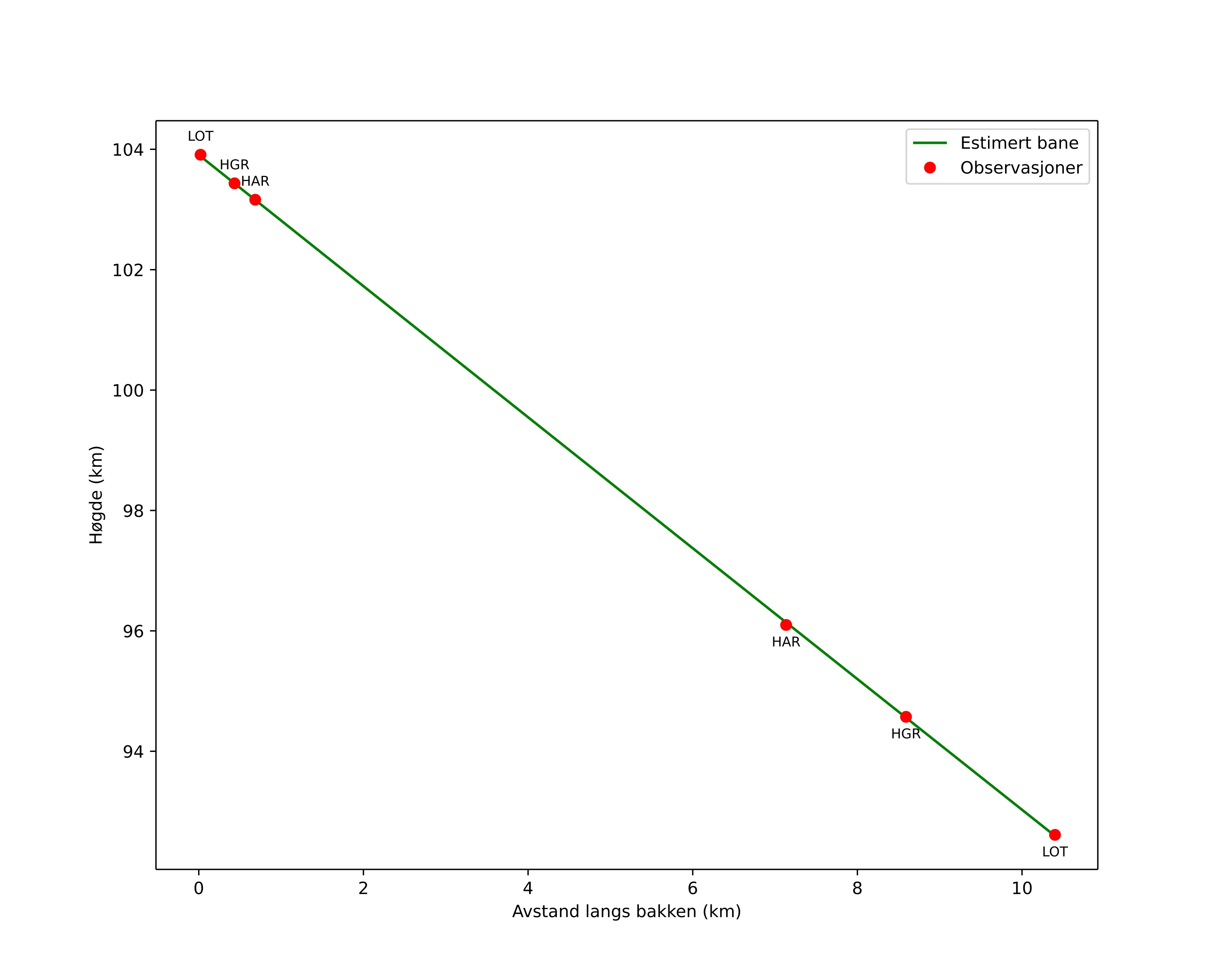
height profile
Meteorens atmosfæriske bane:
Starthøgde: 103,9 km
Slutthøgde: 92,6 km
Startposisjon: 60,609N 11,153E
Sluttposisjon: 60,618N 10,963E
Retning: 276,0°
Fallvinkel: 47,4°
Inngangshastighet: 53,9 km/s
Radiantens rektascensjon: 15:13 (228,3°)
Radiantens deklinasjon: 37,1°
Meteorsverm: sporadisk
Meteoroidens baneelement:
Perihelavstand: 0,979 AU
Eksentrisitet: 0,930
Inklinasjon: 92,5°
Knutelengde: 305,8°
Perihelargument: 188,8°
Midlere anomali: 359,9°
Epoke: 2026 JAN 26 02:16:17
orbit plot

Ikke-interaktivt plott | Interaktivt plott

position vs time
speed and acceleration

Hagar (HGR) cam7


gnomonic
Videoer
• Gnomonisk
• Gnomonisk med koordinater
• Original
• Original med koordinater
Bilder
• Gnomonisk
• Gnomonisk med koordinater
• Original
• Original med koordinater
Tekstfiler
• Deteksjon
• Observasjon
• Koordinater
• Logg
Lysstyrke

Harestua (HAR) cam6


gnomonic
Videoer
• Gnomonisk
• Gnomonisk med koordinater
• Original
• Original med koordinater
Bilder
• Gnomonisk
• Gnomonisk med koordinater
• Original
• Original med koordinater
Tekstfiler
• Deteksjon
• Observasjon
• Koordinater
• Logg
Lysstyrke

Loten (LOT) cam7


gnomonic
Videoer
• Gnomonisk
• Gnomonisk med koordinater
• Original
• Original med koordinater
Bilder
• Gnomonisk
• Gnomonisk med koordinater
• Original
• Original med koordinater
Tekstfiler
• Deteksjon
• Observasjon
• Koordinater
• Logg
Lysstyrke