🇳🇴 🇬🇧 🇩🇪 🇨🇿 🇫🇮

Meteor over Kongsvinger 2026-01-26 04:16:23 UTC

KML-fil  |  Interaktivt kart

Kartet viser peilingene for meteoren. De lysere linjene viser retningene fra observasjonsstedene for meteorens tilsynekomst, og de mørkere linjene viser hvor den sist kunne sees. Den blå pila viser meteorens synlige ferd.

static map
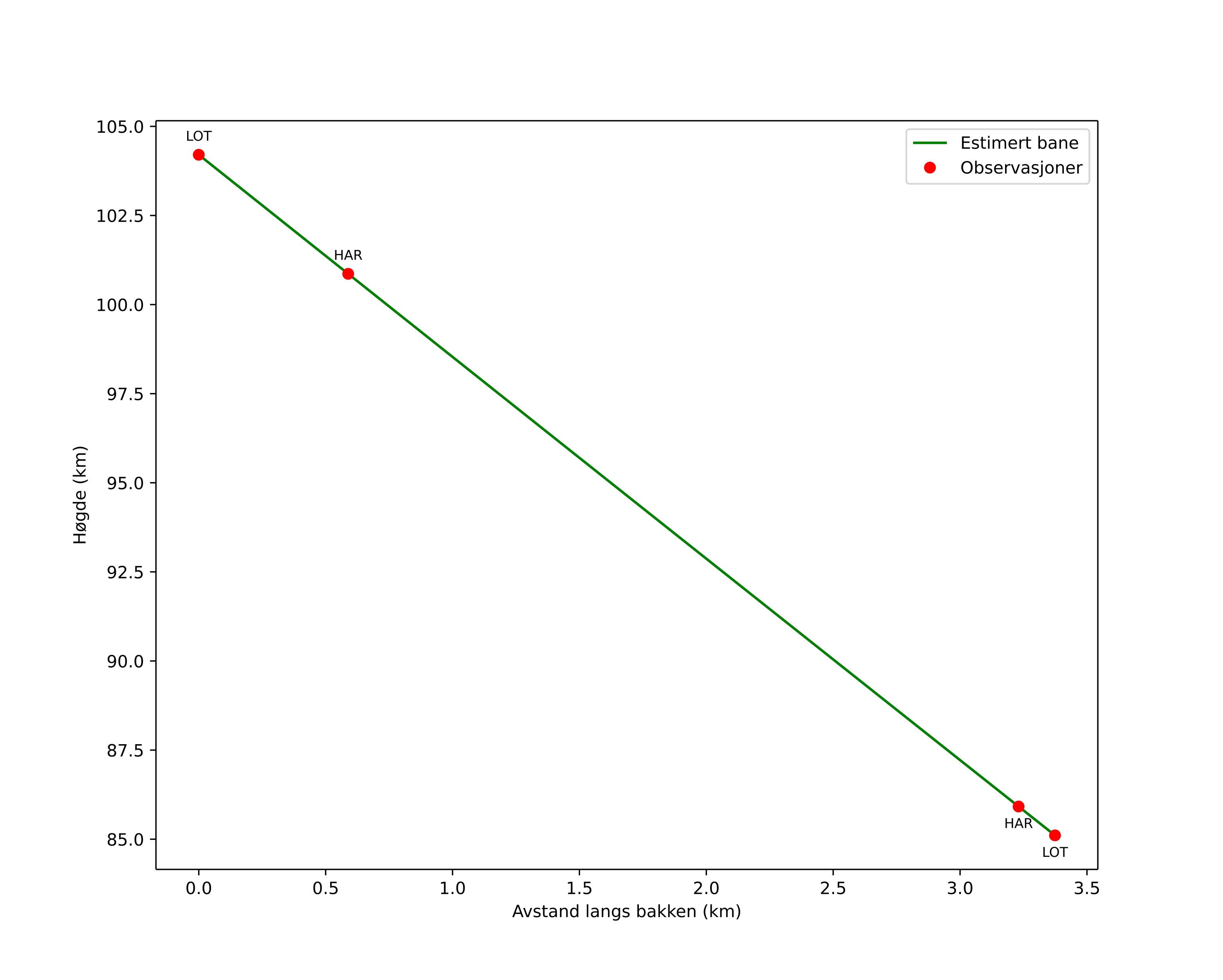
height profile
Meteorens atmosfæriske bane:
Starthøgde: 101,8 km
Slutthøgde: 84,8 km
Startposisjon: 60,142N 12,026E
Sluttposisjon: 60,150N 12,078E
Retning: 71,8°
Fallvinkel: 80,0°
Inngangshastighet: 36,8 km/s
Radiantens rektascensjon: 12:12 (183,2°)
Radiantens deklinasjon: 55,5°
Meteorsverm: sporadisk
Meteoroidens baneelement:
Perihelavstand: 0,695 AU
Eksentrisitet: 0,795
Inklinasjon: 53,0°
Knutelengde: 305,8°
Perihelargument: 250,3°
Midlere anomali: 353,7°
Epoke: 2026 JAN 26 04:16:23
orbit plot

Ikke-interaktivt plott | Interaktivt plott

position vs time
speed and acceleration

Harestua (HAR) cam7


gnomonic
Videoer
• Gnomonisk
• Gnomonisk med koordinater
• Original
• Original med koordinater
Bilder
• Gnomonisk
• Gnomonisk med koordinater
• Original
• Original med koordinater
Tekstfiler
• Deteksjon
• Observasjon
• Koordinater
• Logg
Lysstyrke

Loten (LOT) cam7


gnomonic
Videoer
• Gnomonisk
• Gnomonisk med koordinater
• Original
• Original med koordinater
Bilder
• Gnomonisk
• Gnomonisk med koordinater
• Original
• Original med koordinater
Tekstfiler
• Deteksjon
• Observasjon
• Koordinater
• Logg
Lysstyrke