🇳🇴 🇬🇧 🇩🇪 🇨🇿 🇫🇮

Meteor over Slidre 2026-01-29 05:16:26 UTC

KML-fil  |  Interaktivt kart

Kartet viser peilingene for meteoren. De lysere linjene viser retningene fra observasjonsstedene for meteorens tilsynekomst, og de mørkere linjene viser hvor den sist kunne sees. Den blå pila viser meteorens synlige ferd.

static map
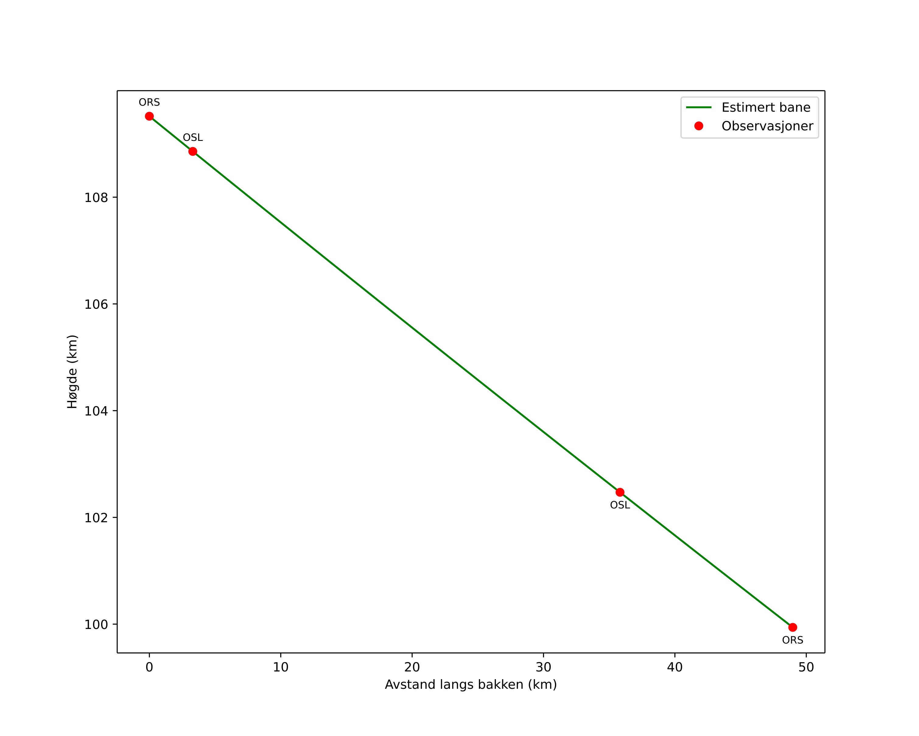
height profile
Meteorens atmosfæriske bane:
Starthøgde: 109,5 km
Slutthøgde: 99,9 km
Startposisjon: 60,582N 8,770E
Sluttposisjon: 61,015N 8,934E
Retning: 10,4°
Fallvinkel: 11,1°
Inngangshastighet: 71,2 km/s
Radiantens rektascensjon: 13:39 (204,9°)
Radiantens deklinasjon: -18,3°
Meteorsverm: sporadisk
Meteoroidens baneelement:
Perihelavstand: 0,911 AU
Eksentrisitet: 0,891
Inklinasjon: 166,8°
Knutelengde: 128,9°
Perihelargument: 32,8°
Midlere anomali: 359,1°
Epoke: 2026 JAN 29 05:16:26
orbit plot

Ikke-interaktivt plott | Interaktivt plott

position vs time
speed and acceleration

Orsta (ORS) cam2


gnomonic
Videoer
• Gnomonisk
• Gnomonisk med koordinater
• Original
• Original med koordinater
Bilder
• Gnomonisk
• Gnomonisk med koordinater
• Original
• Original med koordinater
Tekstfiler
• Deteksjon
• Observasjon
• Koordinater
• Logg
Lysstyrke

Voksenlia (OSL) cam2


gnomonic
Videoer
• Gnomonisk
• Gnomonisk med koordinater
• Original
• Original med koordinater
Bilder
• Gnomonisk
• Gnomonisk med koordinater
• Original
• Original med koordinater
Tekstfiler
• Deteksjon
• Observasjon
• Koordinater
• Logg
Lysstyrke