🇳🇴 🇬🇧 🇩🇪 🇨🇿 🇫🇮

Meteor over Kiruna 2026-01-31 00:06:55 UTC

KML-fil  |  Interaktivt kart

Kartet viser peilingene for meteoren. De lysere linjene viser retningene fra observasjonsstedene for meteorens tilsynekomst, og de mørkere linjene viser hvor den sist kunne sees. Den blå pila viser meteorens synlige ferd.

static map
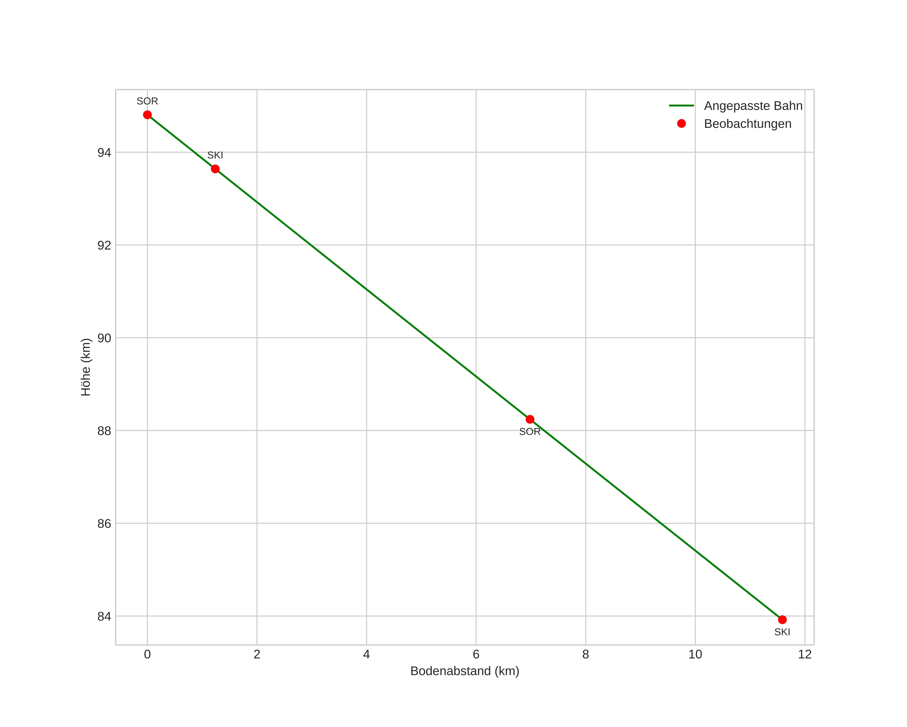
height profile
Meteorens atmosfæriske bane:
Starthøgde: 94,8 km
Slutthøgde: 83,9 km
Startposisjon: 68,587N 20,721E
Sluttposisjon: 68,514N 20,518E
Retning: 225,6°
Fallvinkel: 43,2°
Inngangshastighet: 36,3 km/s
Radiantens rektascensjon: 17:47 (266,8°)
Radiantens deklinasjon: 54,6°
Meteorsverm: sporadisk
Meteoroidens baneelement:
Perihelavstand: 0,972 AU
Eksentrisitet: 0,965
Inklinasjon: 53,7°
Knutelengde: 310,8°
Perihelargument: 166,4°
Midlere anomali: 0,1°
Epoke: 2026 JAN 31 00:06:55
orbit plot

Ikke-interaktivt plott | Interaktivt plott

position vs time
speed and acceleration

Skibotn (SKI) cam4


gnomonic
Videoer
• Gnomonisk
• Gnomonisk med koordinater
• Original
• Original med koordinater
Bilder
• Gnomonisk
• Gnomonisk med koordinater
• Original
• Original med koordinater
Tekstfiler
• Deteksjon
• Observasjon
• Koordinater
• Logg
Lysstyrke

Sorreisa (SOR) cam3


gnomonic
Videoer
• Gnomonisk
• Gnomonisk med koordinater
• Original
• Original med koordinater
Bilder
• Gnomonisk
• Gnomonisk med koordinater
• Original
• Original med koordinater
Tekstfiler
• Deteksjon
• Observasjon
• Koordinater
• Logg
Lysstyrke