🇳🇴 🇬🇧 🇩🇪 🇨🇿 🇫🇮

Meteor over Oppdal 2026-02-08 04:23:51 UTC

KML-fil  |  Interaktivt kart

Kartet viser peilingene for meteoren. De lysere linjene viser retningene fra observasjonsstedene for meteorens tilsynekomst, og de mørkere linjene viser hvor den sist kunne sees. Den blå pila viser meteorens synlige ferd.

static map
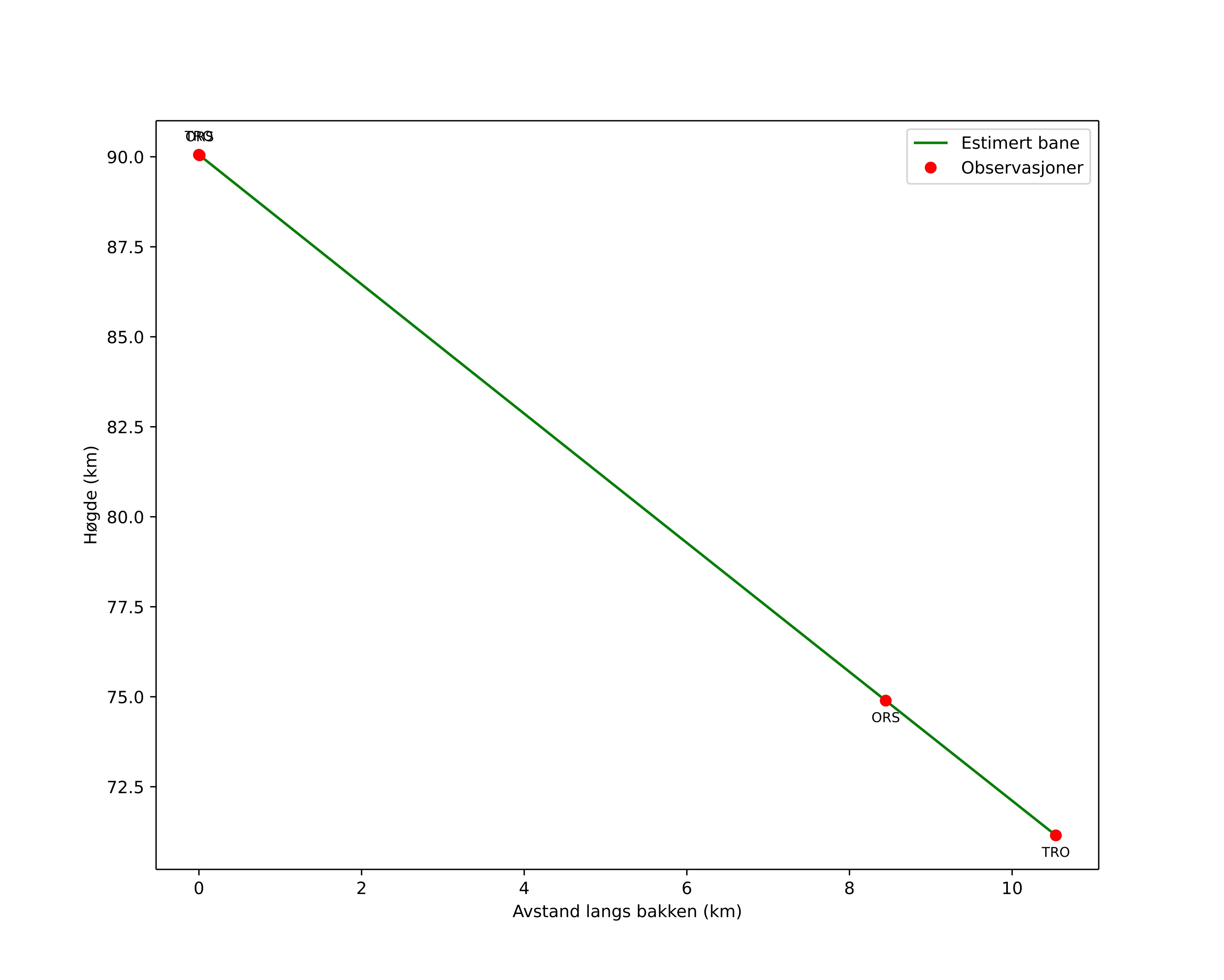
height profile
Meteorens atmosfæriske bane:
Starthøgde: 90,1 km
Slutthøgde: 71,1 km
Startposisjon: 62,850N 9,849E
Sluttposisjon: 62,849N 9,642E
Retning: 269,1°
Fallvinkel: 61,0°
Inngangshastighet: 29,7 km/s
Radiantens rektascensjon: 17:42 (265,6°)
Radiantens deklinasjon: 50,8°
Meteorsverm: sporadisk
Meteoroidens baneelement:
Perihelavstand: 0,964 AU
Eksentrisitet: 0,431
Inklinasjon: 48,0°
Knutelengde: 319,0°
Perihelargument: 157,7°
Midlere anomali: 8,1°
Epoke: 2026 FEB 08 04:23:51
orbit plot

Ikke-interaktivt plott | Interaktivt plott

position vs time
speed and acceleration

Orsta (ORS) cam1


gnomonic
Videoer
• Gnomonisk
• Gnomonisk med koordinater
• Original
• Original med koordinater
Bilder
• Gnomonisk
• Gnomonisk med koordinater
• Original
• Original med koordinater
Tekstfiler
• Deteksjon
• Observasjon
• Koordinater
• Logg
Lysstyrke

Trondheim (TRO) cam7


gnomonic
Videoer
• Gnomonisk
• Gnomonisk med koordinater
• Original
• Original med koordinater
Bilder
• Gnomonisk
• Gnomonisk med koordinater
• Original
• Original med koordinater
Tekstfiler
• Deteksjon
• Observasjon
• Koordinater
• Logg
Lysstyrke