🇳🇴 🇬🇧 🇩🇪 🇨🇿 🇫🇮

Meteor over Alvdal 2026-02-09 22:41:31 UTC

KML-fil  |  Interaktivt kart

Kartet viser peilingene for meteoren. De lysere linjene viser retningene fra observasjonsstedene for meteorens tilsynekomst, og de mørkere linjene viser hvor den sist kunne sees. Den blå pila viser meteorens synlige ferd.

static map
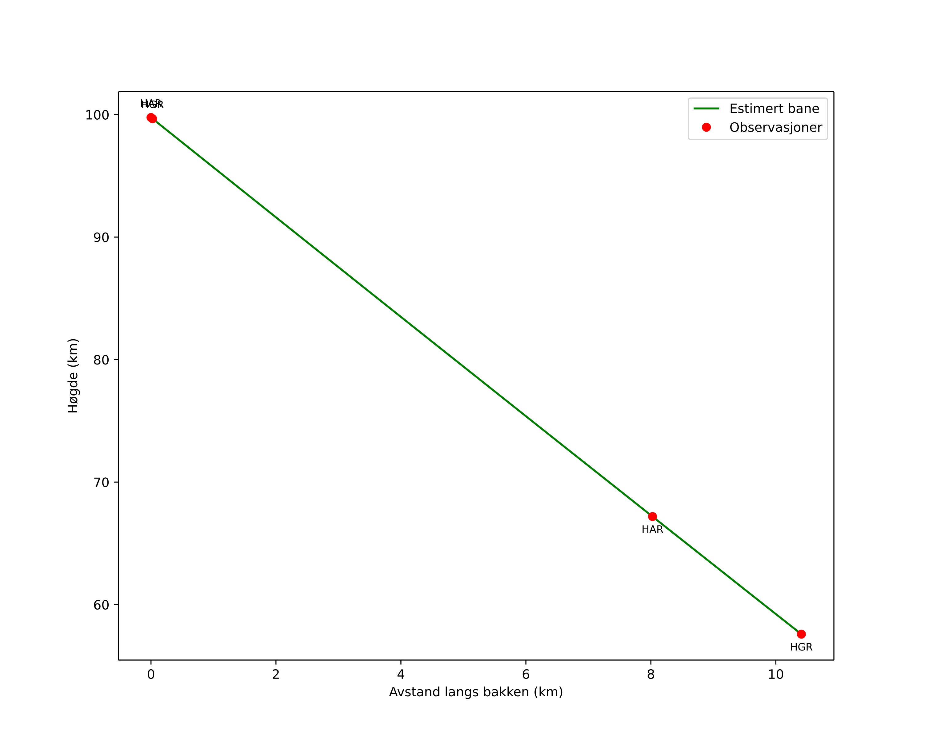
height profile
Meteorens atmosfæriske bane:
Starthøgde: 99,8 km
Slutthøgde: 57,6 km
Startposisjon: 62,028N 10,826E
Sluttposisjon: 62,023N 10,627E
Retning: 266,8°
Fallvinkel: 76,1°
Inngangshastighet: 34,0 km/s
Radiantens rektascensjon: 10:35 (159,0°)
Radiantens deklinasjon: 59,7°
Meteorsverm: sporadisk
Meteoroidens baneelement:
Perihelavstand: 0,791 AU
Eksentrisitet: 1,286
Inklinasjon: 34,8°
Knutelengde: 320,8°
Perihelargument: 229,7°
Midlere anomali: -5,9°
Epoke: 2026 FEB 09 22:41:31
orbit plot

Ikke-interaktivt plott | Interaktivt plott

position vs time
speed and acceleration

Hagar (HGR) cam2


gnomonic
Videoer
• Gnomonisk
• Gnomonisk med koordinater
• Original
• Original med koordinater
Bilder
• Gnomonisk
• Gnomonisk med koordinater
• Original
• Original med koordinater
Tekstfiler
• Deteksjon
• Observasjon
• Koordinater
• Logg
Lysstyrke

Harestua (HAR) cam1


gnomonic
Videoer
• Gnomonisk
• Gnomonisk med koordinater
• Original
• Original med koordinater
Bilder
• Gnomonisk
• Gnomonisk med koordinater
• Original
• Original med koordinater
Tekstfiler
• Deteksjon
• Observasjon
• Koordinater
• Logg
Lysstyrke