🇳🇴 🇬🇧 🇩🇪 🇨🇿 🇫🇮

Meteor over Sande 2026-02-10 02:30:45 UTC

KML-fil  |  Interaktivt kart

Kartet viser peilingene for meteoren. De lysere linjene viser retningene fra observasjonsstedene for meteorens tilsynekomst, og de mørkere linjene viser hvor den sist kunne sees. Den blå pila viser meteorens synlige ferd.

static map
height profile
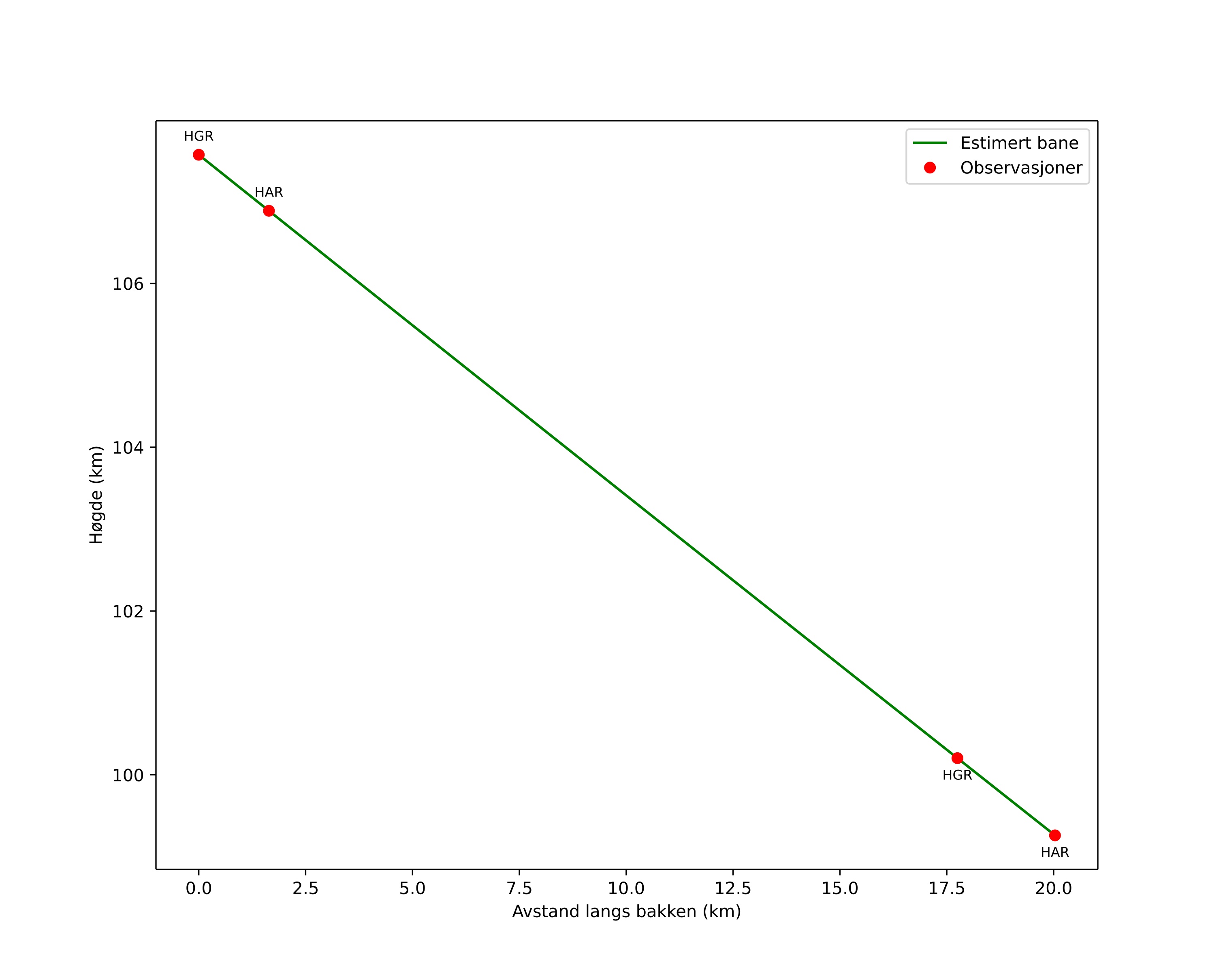
Meteorens atmosfæriske bane:
Starthøgde: 107,6 km
Slutthøgde: 99,3 km
Startposisjon: 59,528N 10,478E
Sluttposisjon: 59,640N 10,200E
Retning: 308,7°
Fallvinkel: 22,5°
Inngangshastighet: 68,9 km/s
Radiantens rektascensjon: 15:36 (234,1°)
Radiantens deklinasjon: 1,7°
Meteorsverm: sporadisk
Meteoroidens baneelement:
Perihelavstand: 0,986 AU
Eksentrisitet: 0,862
Inklinasjon: 144,6°
Knutelengde: 321,0°
Perihelargument: 178,0°
Midlere anomali: 0,1°
Epoke: 2026 FEB 10 02:30:45
orbit plot

Ikke-interaktivt plott | Interaktivt plott

position vs time
speed and acceleration

Hagar (HGR) cam5


gnomonic
Videoer
• Gnomonisk
• Gnomonisk med koordinater
• Original
• Original med koordinater
Bilder
• Gnomonisk
• Gnomonisk med koordinater
• Original
• Original med koordinater
Tekstfiler
• Deteksjon
• Observasjon
• Koordinater
• Logg
Lysstyrke

Harestua (HAR) cam7


gnomonic
Videoer
• Gnomonisk
• Gnomonisk med koordinater
• Original
• Original med koordinater
Bilder
• Gnomonisk
• Gnomonisk med koordinater
• Original
• Original med koordinater
Tekstfiler
• Deteksjon
• Observasjon
• Koordinater
• Logg
Lysstyrke