🇳🇴 🇬🇧 🇩🇪 🇨🇿 🇫🇮

Meteor over Tingvatn 2026-02-14 01:45:53 UTC

KML-fil  |  Interaktivt kart

Kartet viser peilingene for meteoren. De lysere linjene viser retningene fra observasjonsstedene for meteorens tilsynekomst, og de mørkere linjene viser hvor den sist kunne sees. Den blå pila viser meteorens synlige ferd.

static map
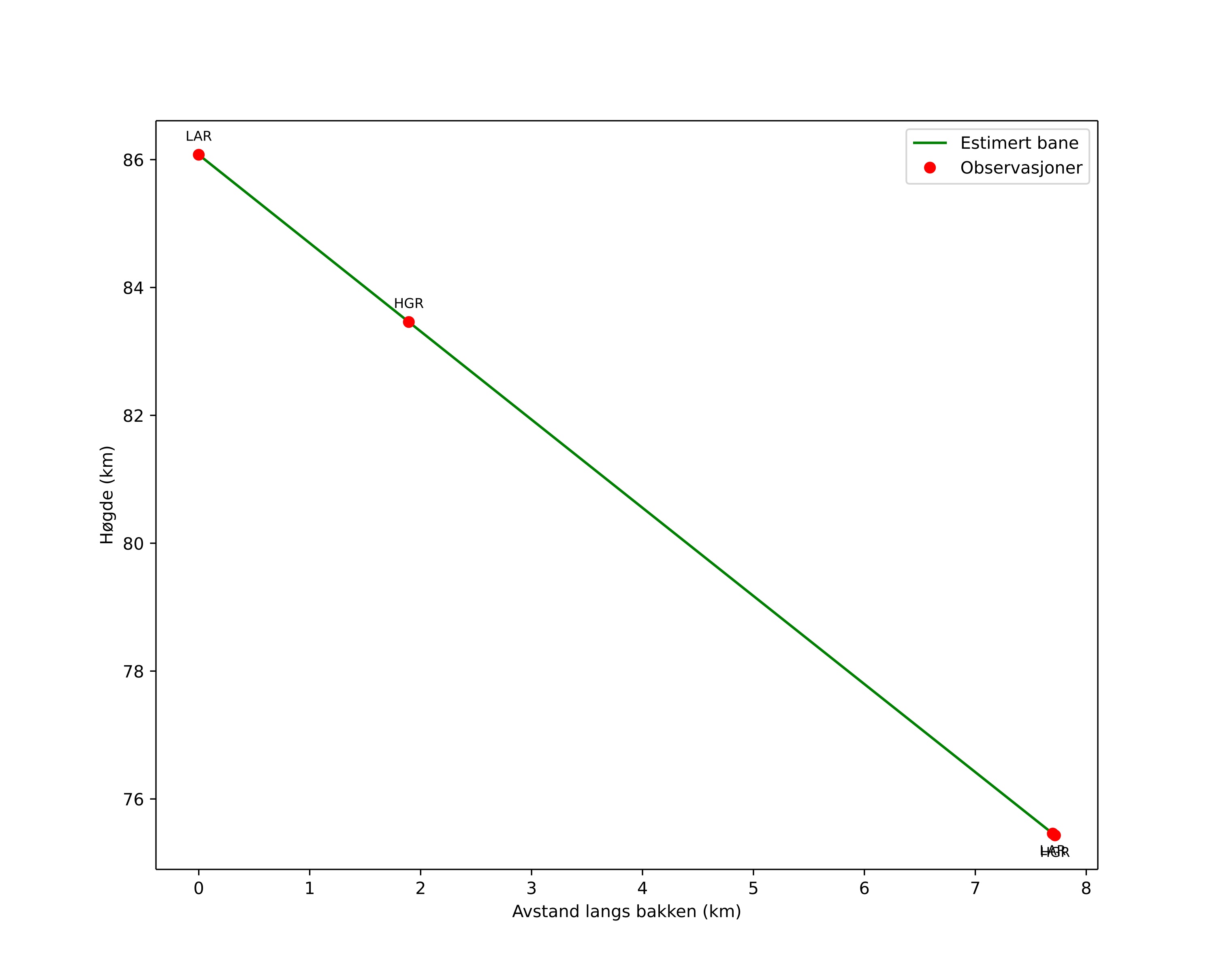
height profile
Meteorens atmosfæriske bane:
Starthøgde: 86,1 km
Slutthøgde: 75,4 km
Startposisjon: 58,475N 7,450E
Sluttposisjon: 58,443N 7,332E
Retning: 242,9°
Fallvinkel: 54,2°
Inngangshastighet: 33,0 km/s
Radiantens rektascensjon: 16:33 (248,3°)
Radiantens deklinasjon: 55,9°
Meteorsverm: sporadisk
Meteoroidens baneelement:
Perihelavstand: 0,983 AU
Eksentrisitet: 0,576
Inklinasjon: 52,7°
Knutelengde: 325,0°
Perihelargument: 189,5°
Midlere anomali: 357,9°
Epoke: 2026 FEB 14 01:45:53
orbit plot

Ikke-interaktivt plott | Interaktivt plott

position vs time
speed and acceleration

Hagar (HGR) cam5


preview
Videoer
• Gnomonisk
• Gnomonisk med koordinater
• Original
• Original med koordinater
Bilder
• Gnomonisk
• Gnomonisk med koordinater
• Original
• Original med koordinater
Tekstfiler
• Deteksjon
• Observasjon
• Koordinater
• Logg
Lysstyrke

Larvik (LAR) cam4


preview
Videoer
• Gnomonisk
• Gnomonisk med koordinater
• Original
• Original med koordinater
Bilder
• Gnomonisk
• Gnomonisk med koordinater
• Original
• Original med koordinater
Tekstfiler
• Deteksjon
• Observasjon
• Koordinater
• Logg
Lysstyrke