🇳🇴 🇬🇧 🇩🇪 🇨🇿 🇫🇮

Meteor over Stange 2026-02-14 05:35:13 UTC

KML-fil  |  Interaktivt kart

Kartet viser peilingene for meteoren. De lysere linjene viser retningene fra observasjonsstedene for meteorens tilsynekomst, og de mørkere linjene viser hvor den sist kunne sees. Den blå pila viser meteorens synlige ferd.

static map
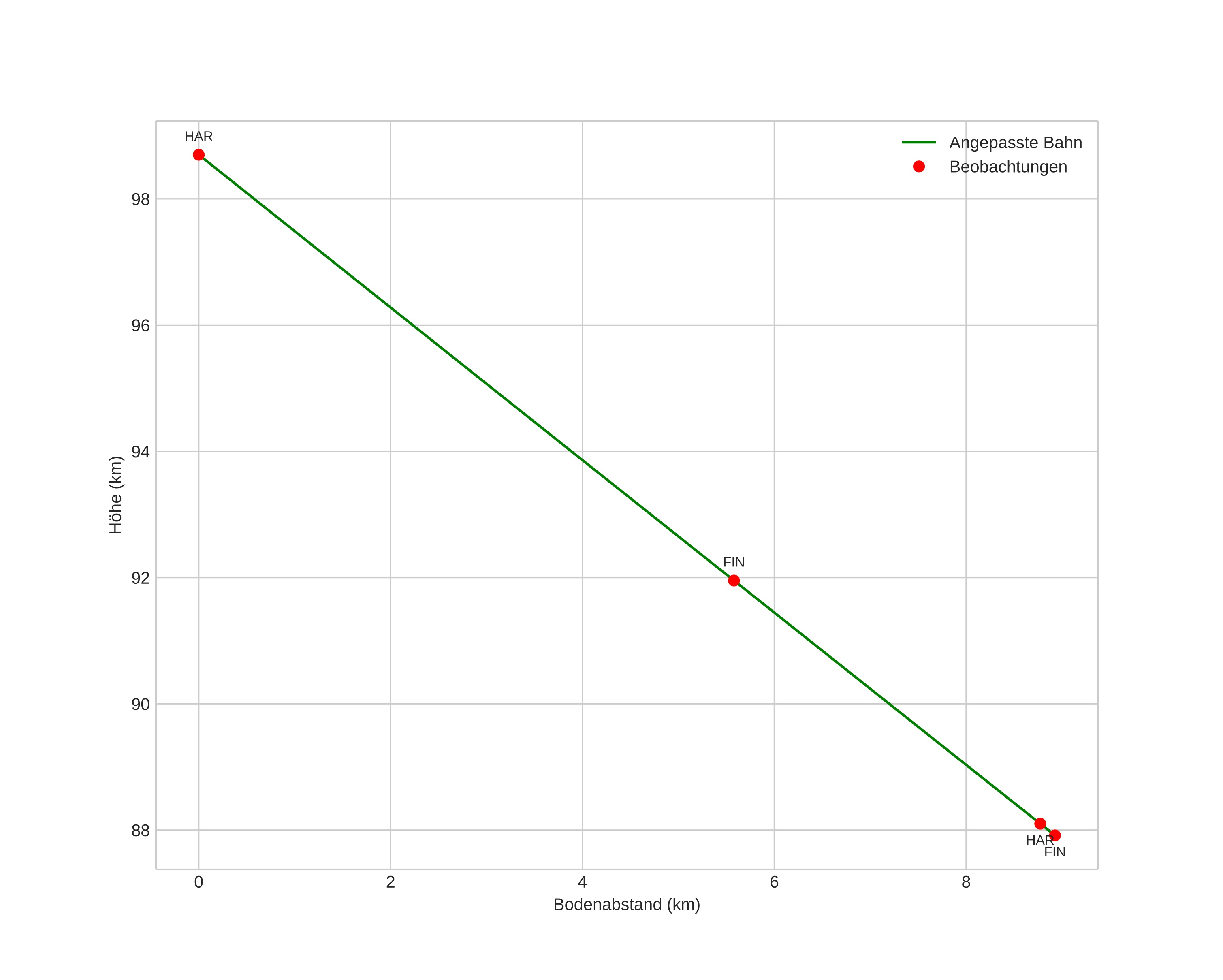
height profile
Meteorens atmosfæriske bane:
Starthøgde: 98,7 km
Slutthøgde: 87,9 km
Startposisjon: 60,697N 11,281E
Sluttposisjon: 60,718N 11,123E
Retning: 285,6°
Fallvinkel: 50,4°
Inngangshastighet: 45,2 km/s
Radiantens rektascensjon: 19:13 (288,5°)
Radiantens deklinasjon: 35,5°
Meteorsverm: sporadisk
Meteoroidens baneelement:
Perihelavstand: 0,806 AU
Eksentrisitet: 1,357
Inklinasjon: 62,0°
Knutelengde: 325,2°
Perihelargument: 132,9°
Midlere anomali: 7,6°
Epoke: 2026 FEB 14 05:35:13
orbit plot

Ikke-interaktivt plott | Interaktivt plott

position vs time
speed and acceleration

Finnskogen (FIN) cam7


gnomonic
Videoer
• Gnomonisk
• Gnomonisk med koordinater
• Original
• Original med koordinater
Bilder
• Gnomonisk
• Gnomonisk med koordinater
• Original
• Original med koordinater
Tekstfiler
• Deteksjon
• Observasjon
• Koordinater
• Logg
Lysstyrke

Harestua (HAR) cam6


gnomonic
Videoer
• Gnomonisk
• Gnomonisk med koordinater
• Original
• Original med koordinater
Bilder
• Gnomonisk
• Gnomonisk med koordinater
• Original
• Original med koordinater
Tekstfiler
• Deteksjon
• Observasjon
• Koordinater
• Logg
Lysstyrke