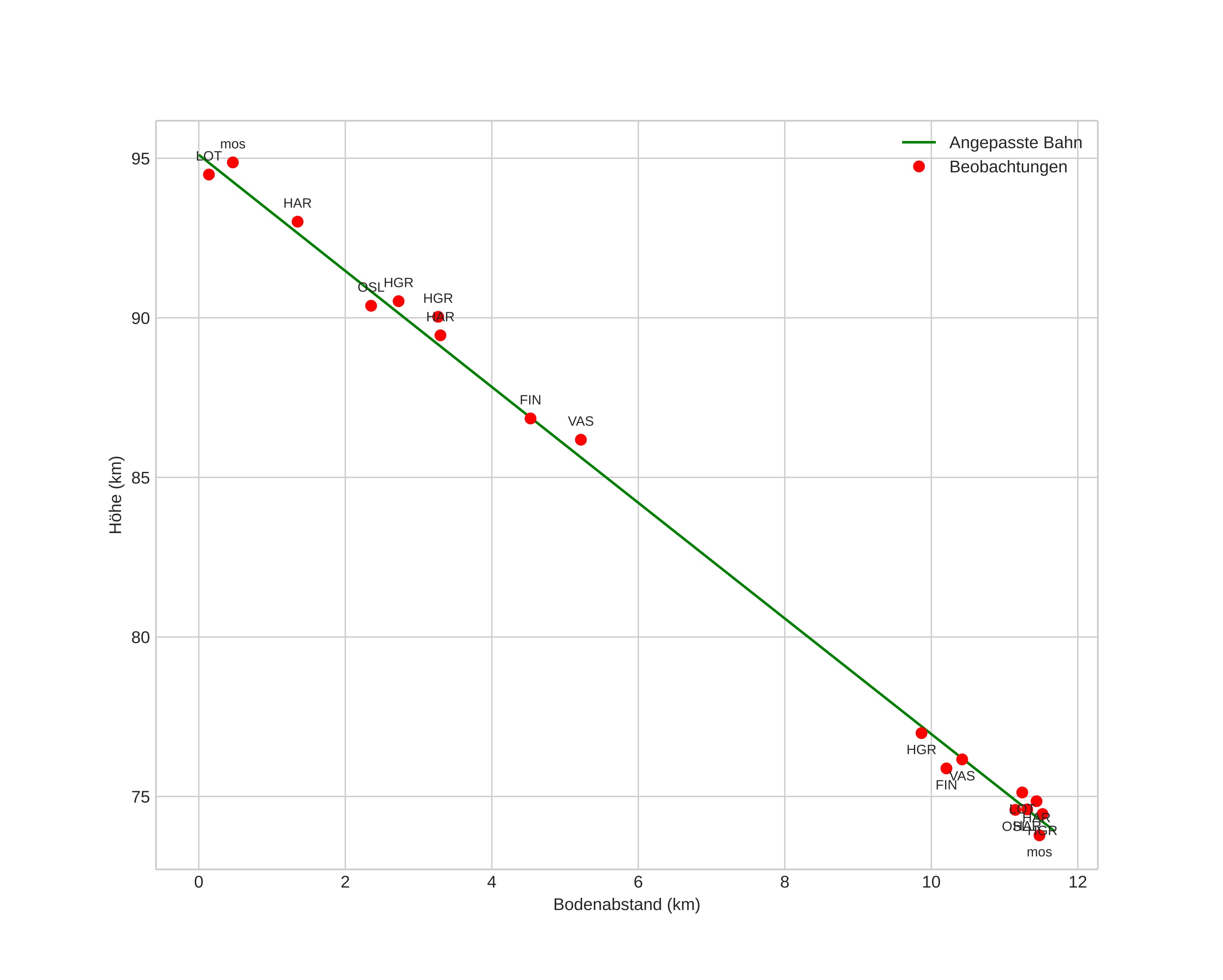
Atmosférická dráha meteoru:
| Počátečnà výška: | 95,1 km |
| Konečná výška: | 73,9 km |
| Počátečnà poloha: | 58,954N 10,992E |
| Konečná poloha: | 58,979N 10,794E |
| Směr: | 283,8° |
| Sklon: | 61,1° |
| VstupnĂ rychlost: | 23,6 km/s |
| Rektascenze radiantu: | 08:49 (132,4°) |
| Deklinace radiantu: | 42,6° |
| MeteorickĂ˝ roj: | sporadickĂ˝ |
|
Elementy dráhy meteoroidu:
| Vzdálenost v periheliu: | 0,823 AU |
| Excentricita: | 0,973 |
| Sklon dráhy: | 12,6° |
| Délka vzestupného uzlu: | 325,8° |
| Argument perihelia: | 228,6° |
| Střednà anomálie: | 359,8° |
| Epocha: | 2026 FEB 14 19:42:39 |
|