🇳🇴 🇬🇧 🇩🇪 🇨🇿 🇫🇮

Meteor over Edsbyn 2026-02-15 01:33:32 UTC

KML-fil  |  Interaktivt kart

Kartet viser peilingene for meteoren. De lysere linjene viser retningene fra observasjonsstedene for meteorens tilsynekomst, og de mørkere linjene viser hvor den sist kunne sees. Den blå pila viser meteorens synlige ferd.

static map
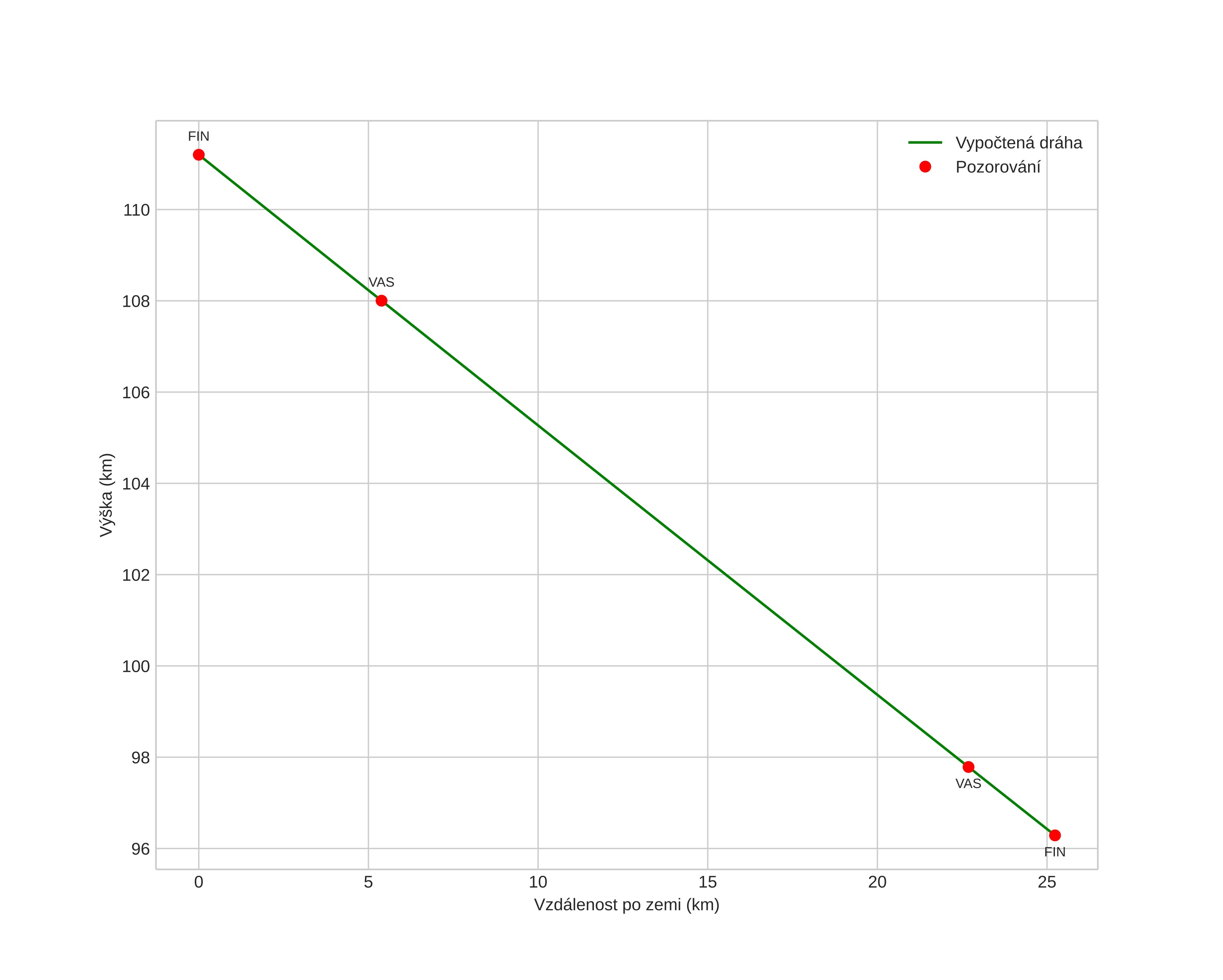
height profile
Meteorens atmosfæriske bane:
Starthøgde: 111,2 km
Slutthøgde: 96,3 km
Startposisjon: 61,397N 16,207E
Sluttposisjon: 61,570N 15,900E
Retning: 320,0°
Fallvinkel: 30,6°
Inngangshastighet: 68,4 km/s
Radiantens rektascensjon: 14:32 (218,2°)
Radiantens deklinasjon: 7,2°
Meteorsverm: sporadisk
Meteoroidens baneelement:
Perihelavstand: 0,709 AU
Eksentrisitet: 1,110
Inklinasjon: 139,1°
Knutelengde: 326,0°
Perihelargument: 242,3°
Midlere anomali: -2,0°
Epoke: 2026 FEB 15 01:33:32
orbit plot

Ikke-interaktivt plott | Interaktivt plott

position vs time
speed and acceleration

Finnskogen (FIN) cam2


gnomonic
Videoer
• Gnomonisk
• Gnomonisk med koordinater
• Original
• Original med koordinater
Bilder
• Gnomonisk
• Gnomonisk med koordinater
• Original
• Original med koordinater
Tekstfiler
• Deteksjon
• Observasjon
• Koordinater
• Logg
Lysstyrke

Vasteras (VAS) cam1


gnomonic
Videoer
• Gnomonisk
• Gnomonisk med koordinater
• Original
• Original med koordinater
Bilder
• Gnomonisk
• Gnomonisk med koordinater
• Original
• Original med koordinater
Tekstfiler
• Deteksjon
• Observasjon
• Koordinater
• Logg
Lysstyrke