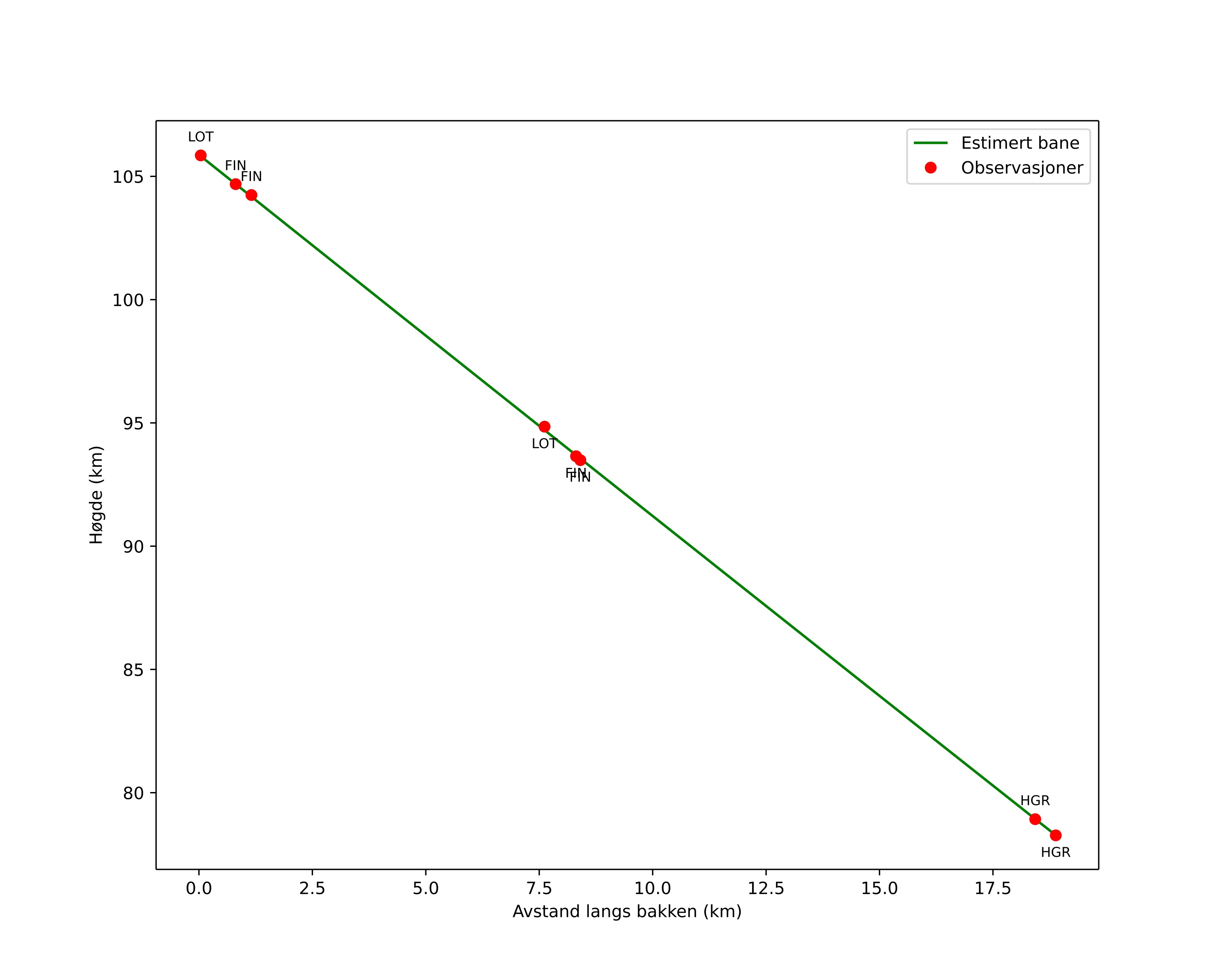
Atmosférická dráha meteoru:
| Počátečnà výška: | 105,9 km |
| Konečná výška: | 78,3 km |
| Počátečnà poloha: | 60,110N 12,919E |
| Konečná poloha: | 60,153N 12,589E |
| Směr: | 284,9° |
| Sklon: | 55,6° |
| VstupnĂ rychlost: | 48,6 km/s |
| Rektascenze radiantu: | 16:37 (249,5°) |
| Deklinace radiantu: | 39,7° |
| MeteorickĂ˝ roj: | sporadickĂ˝ |
|
Elementy dráhy meteoroidu:
| Vzdálenost v periheliu: | 0,988 AU |
| Excentricita: | 0,948 |
| Sklon dráhy: | 80,2° |
| Délka vzestupného uzlu: | 326,1° |
| Argument perihelia: | 178,6° |
| Střednà anomálie: | 0,0° |
| Epocha: | 2026 FEB 15 03:04:53 |
|