🇳🇴 🇬🇧 🇩🇪 🇨🇿 🇫🇮

Meteor over Kárášjohka 2026-02-15 18:53:58 UTC

KML-fil  |  Interaktivt kart

Kartet viser peilingene for meteoren. De lysere linjene viser retningene fra observasjonsstedene for meteorens tilsynekomst, og de mørkere linjene viser hvor den sist kunne sees. Den blå pila viser meteorens synlige ferd.

static map
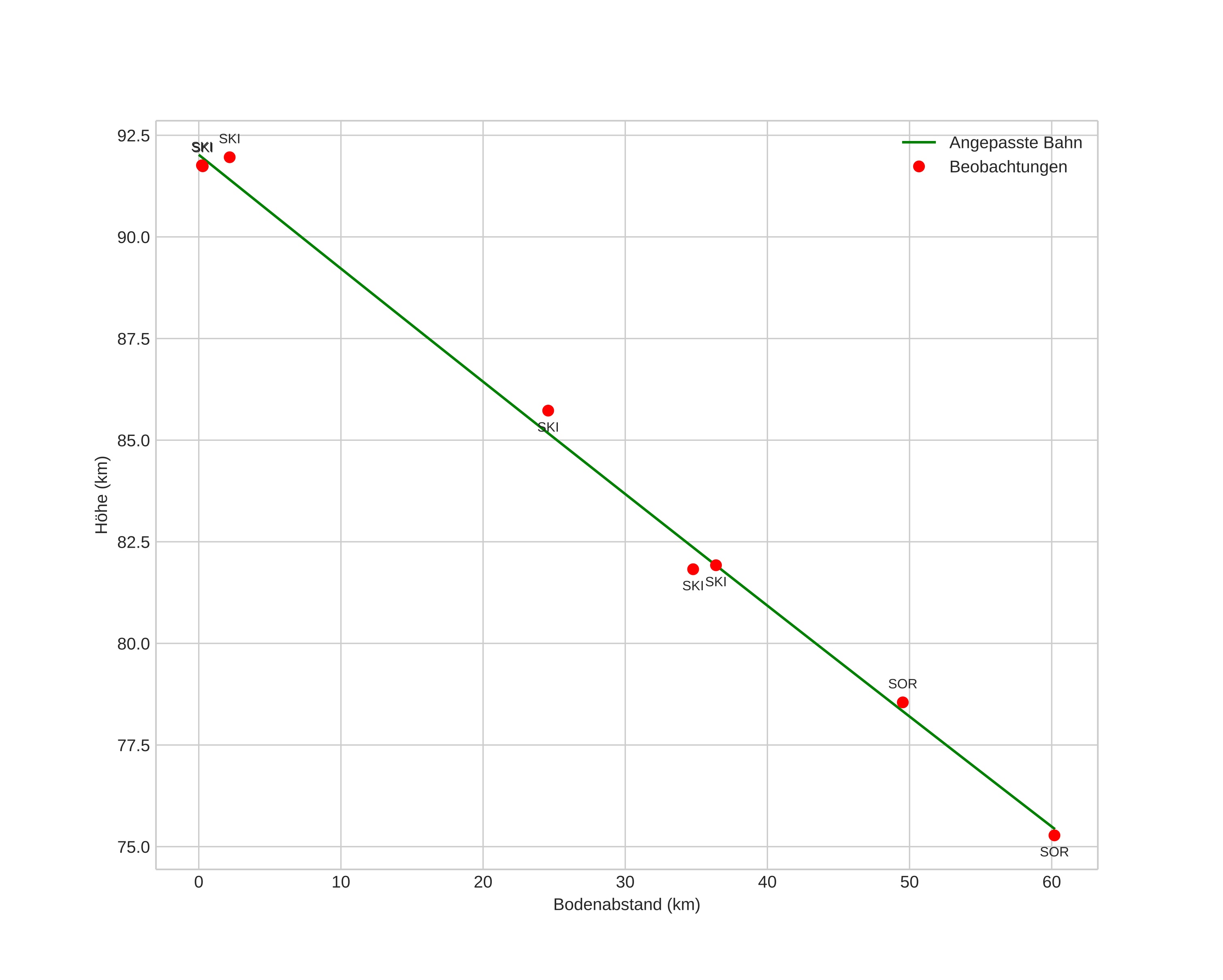
height profile
Meteorens atmosfæriske bane:
Starthøgde: 92,0 km
Slutthøgde: 75,4 km
Startposisjon: 69,008N 24,714E
Sluttposisjon: 68,526N 25,396E
Retning: 152,5°
Fallvinkel: 15,4°
Inngangshastighet: 36,8 km/s
Radiantens rektascensjon: 20:23 (305,8°)
Radiantens deklinasjon: 31,5°
Meteorsverm: sporadisk
Meteoroidens baneelement:
Perihelavstand: 0,737 AU
Eksentrisitet: 1,157
Inklinasjon: 44,3°
Knutelengde: 326,7°
Perihelargument: 121,7°
Midlere anomali: 3,0°
Epoke: 2026 FEB 15 18:53:58
orbit plot

Ikke-interaktivt plott | Interaktivt plott

position vs time
speed and acceleration

Skibotn (SKI) cam2


preview
Videoer
• Gnomonisk
• Gnomonisk med koordinater
• Original
• Original med koordinater
Bilder
• Gnomonisk
• Gnomonisk med koordinater
• Original
• Original med koordinater
Tekstfiler
• Deteksjon
• Observasjon
• Koordinater
• Logg
Lysstyrke

Skibotn (SKI) cam3


preview
Videoer
• Gnomonisk
• Gnomonisk med koordinater
• Original
• Original med koordinater
Bilder
• Gnomonisk
• Gnomonisk med koordinater
• Original
• Original med koordinater
Tekstfiler
• Deteksjon
• Observasjon
• Koordinater
• Logg
Lysstyrke

Sorreisa (SOR) cam2


preview
Videoer
• Gnomonisk
• Gnomonisk med koordinater
• Original
• Original med koordinater
Bilder
• Gnomonisk
• Gnomonisk med koordinater
• Original
• Original med koordinater
Tekstfiler
• Deteksjon
• Observasjon
• Koordinater
• Logg
Lysstyrke