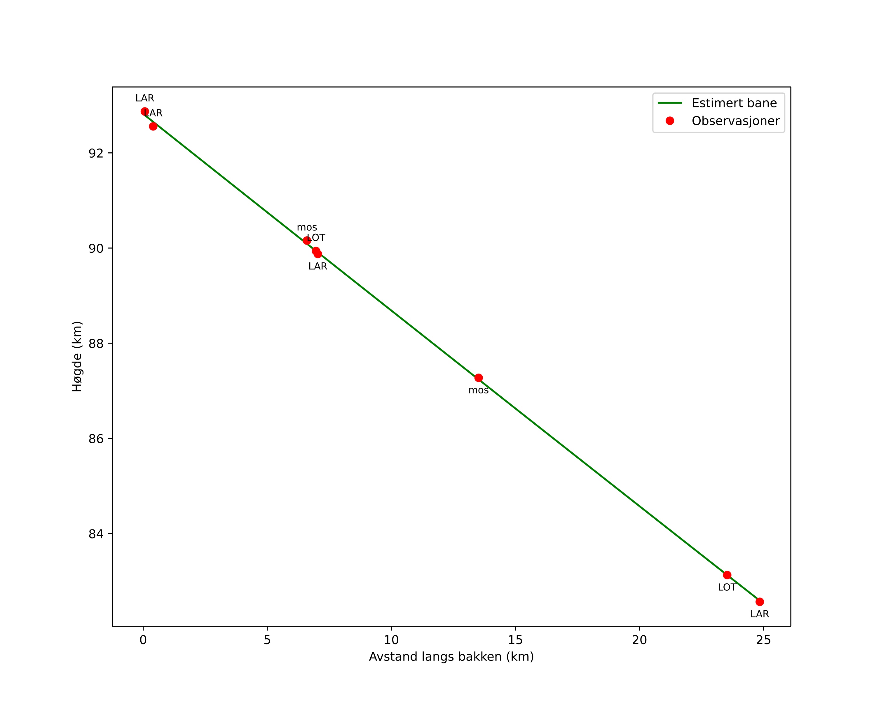
Atmosférická dráha meteoru:
| Počátečnà výška: | 92,8 km |
| Konečná výška: | 82,6 km |
| Počátečnà poloha: | 59,887N 9,628E |
| Konečná poloha: | 60,028N 9,973E |
| Směr: | 50,5° |
| Sklon: | 22,3° |
| VstupnĂ rychlost: | 38,9 km/s |
| Rektascenze radiantu: | 11:08 (167,2°) |
| Deklinace radiantu: | 0,5° |
| MeteorickĂ˝ roj: | sporadickĂ˝ |
|
Elementy dráhy meteoroidu:
| Vzdálenost v periheliu: | 0,189 AU |
| Excentricita: | 0,950 |
| Sklon dráhy: | 9,4° |
| Délka vzestupného uzlu: | 149,1° |
| Argument perihelia: | 131,2° |
| Střednà anomálie: | 355,2° |
| Epocha: | 2026 FEB 18 03:45:05 |
|