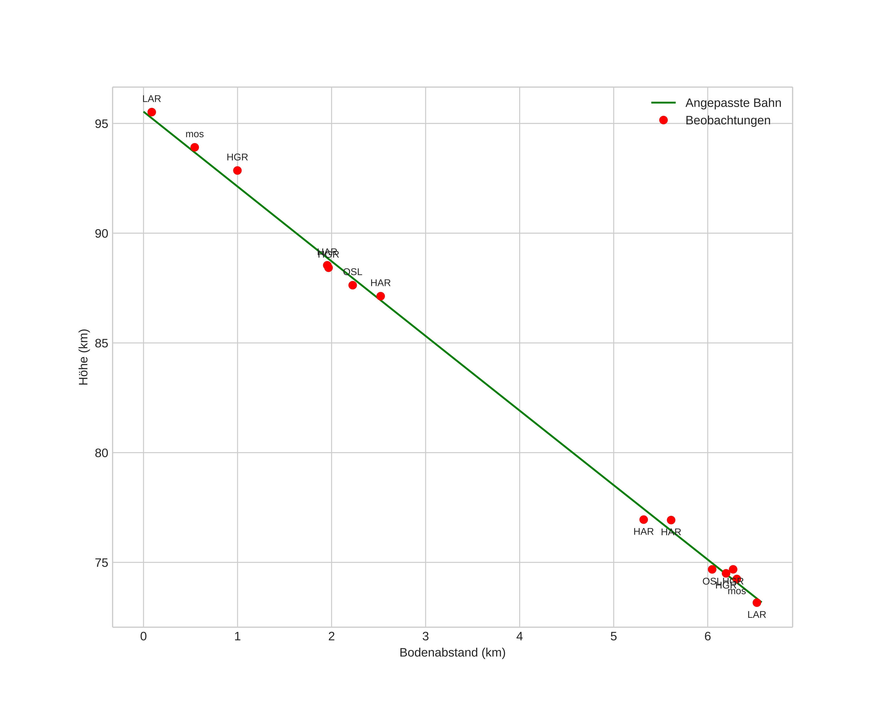
Atmosférická dráha meteoru:
| Počátečnà výška: | 95,5 km |
| Konečná výška: | 73,2 km |
| Počátečnà poloha: | 59,329N 10,925E |
| Konečná poloha: | 59,327N 10,809E |
| Směr: | 267,7° |
| Sklon: | 73,6° |
| VstupnĂ rychlost: | 31,8 km/s |
| Rektascenze radiantu: | 17:40 (265,2°) |
| Deklinace radiantu: | 56,0° |
| MeteorickĂ˝ roj: | sporadickĂ˝ |
|
Elementy dráhy meteoroidu:
| Vzdálenost v periheliu: | 0,985 AU |
| Excentricita: | 0,640 |
| Sklon dráhy: | 49,6° |
| Délka vzestupného uzlu: | 329,2° |
| Argument perihelia: | 172,7° |
| Střednà anomálie: | 1,2° |
| Epocha: | 2026 FEB 18 05:02:45 |
|