🇳🇴 🇬🇧 🇩🇪 🇨🇿 🇫🇮

Meteor over Skagen 2026-02-18 05:04:10 UTC

KML-fil  |  Interaktivt kart

Kartet viser peilingene for meteoren. De lysere linjene viser retningene fra observasjonsstedene for meteorens tilsynekomst, og de mørkere linjene viser hvor den sist kunne sees. Den blå pila viser meteorens synlige ferd.

static map
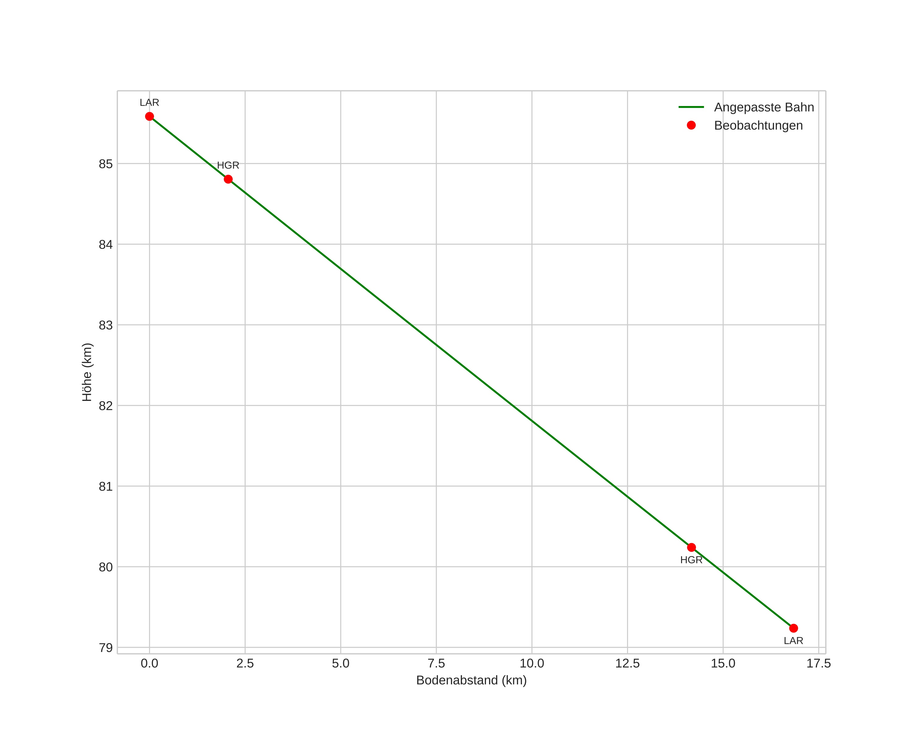
height profile
Meteorens atmosfæriske bane:
Starthøgde: 85,6 km
Slutthøgde: 79,2 km
Startposisjon: 58,130N 10,140E
Sluttposisjon: 58,142N 10,426E
Retning: 85,4°
Fallvinkel: 20,8°
Inngangshastighet: 30,1 km/s
Radiantens rektascensjon: 10:29 (157,3°)
Radiantens deklinasjon: 12,8°
Meteorsverm: sporadisk
Meteoroidens baneelement:
Perihelavstand: 0,452 AU
Eksentrisitet: 0,866
Inklinasjon: 3,1°
Knutelengde: 329,2°
Perihelargument: 279,8°
Midlere anomali: 353,4°
Epoke: 2026 FEB 18 05:04:10
orbit plot

Ikke-interaktivt plott | Interaktivt plott

position vs time
speed and acceleration

Hagar (HGR) cam5


preview
Videoer
• Gnomonisk
• Gnomonisk med koordinater
• Original
• Original med koordinater
Bilder
• Gnomonisk
• Gnomonisk med koordinater
• Original
• Original med koordinater
Tekstfiler
• Deteksjon
• Observasjon
• Koordinater
• Logg
Lysstyrke

Larvik (LAR) cam4


preview
Videoer
• Gnomonisk
• Gnomonisk med koordinater
• Original
• Original med koordinater
Bilder
• Gnomonisk
• Gnomonisk med koordinater
• Original
• Original med koordinater
Tekstfiler
• Deteksjon
• Observasjon
• Koordinater
• Logg
Lysstyrke