Atmosférická dráha meteoru:
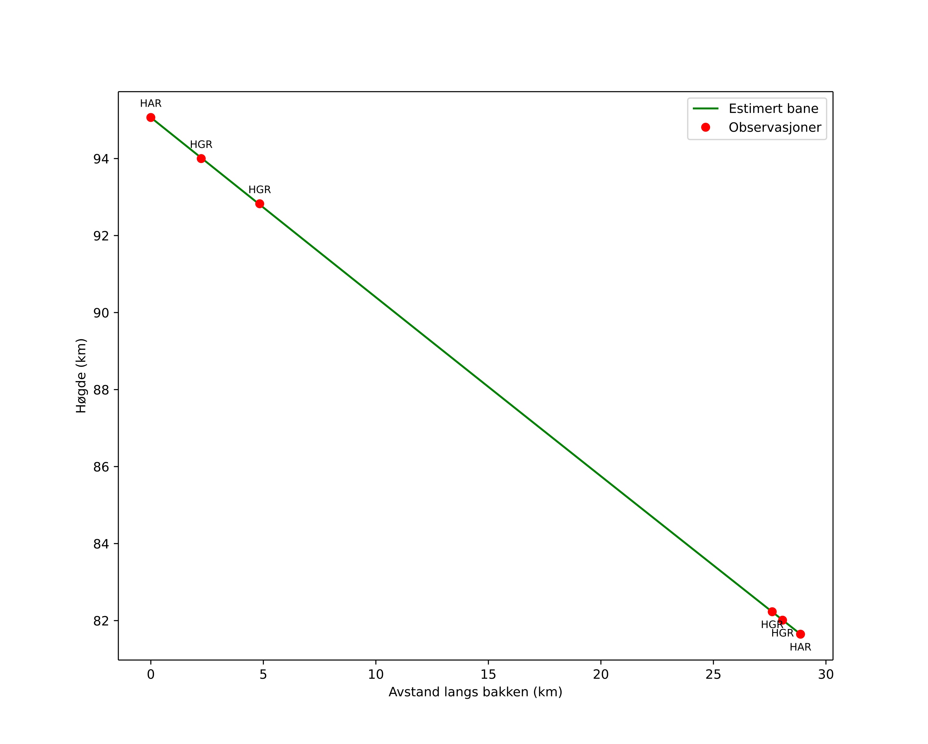
| Počátečnà výška: | 95,1 km |
| Konečná výška: | 81,6 km |
| Počátečnà poloha: | 60,096N 6,939E |
| Konečná poloha: | 60,182N 6,447E |
| Směr: | 289,7° |
| Sklon: | 25,1° |
| VstupnĂ rychlost: | 33,3 km/s |
| Rektascenze radiantu: | 11:26 (171,7°) |
| Deklinace radiantu: | 10,7° |
| MeteorickĂ˝ roj: | sporadickĂ˝ |
|
Elementy dráhy meteoroidu:
| Vzdálenost v periheliu: | 0,256 AU |
| Excentricita: | 0,850 |
| Sklon dráhy: | 9,9° |
| Délka vzestupného uzlu: | 329,8° |
| Argument perihelia: | 307,9° |
| Střednà anomálie: | 341,9° |
| Epocha: | 2026 FEB 18 20:58:47 |
|