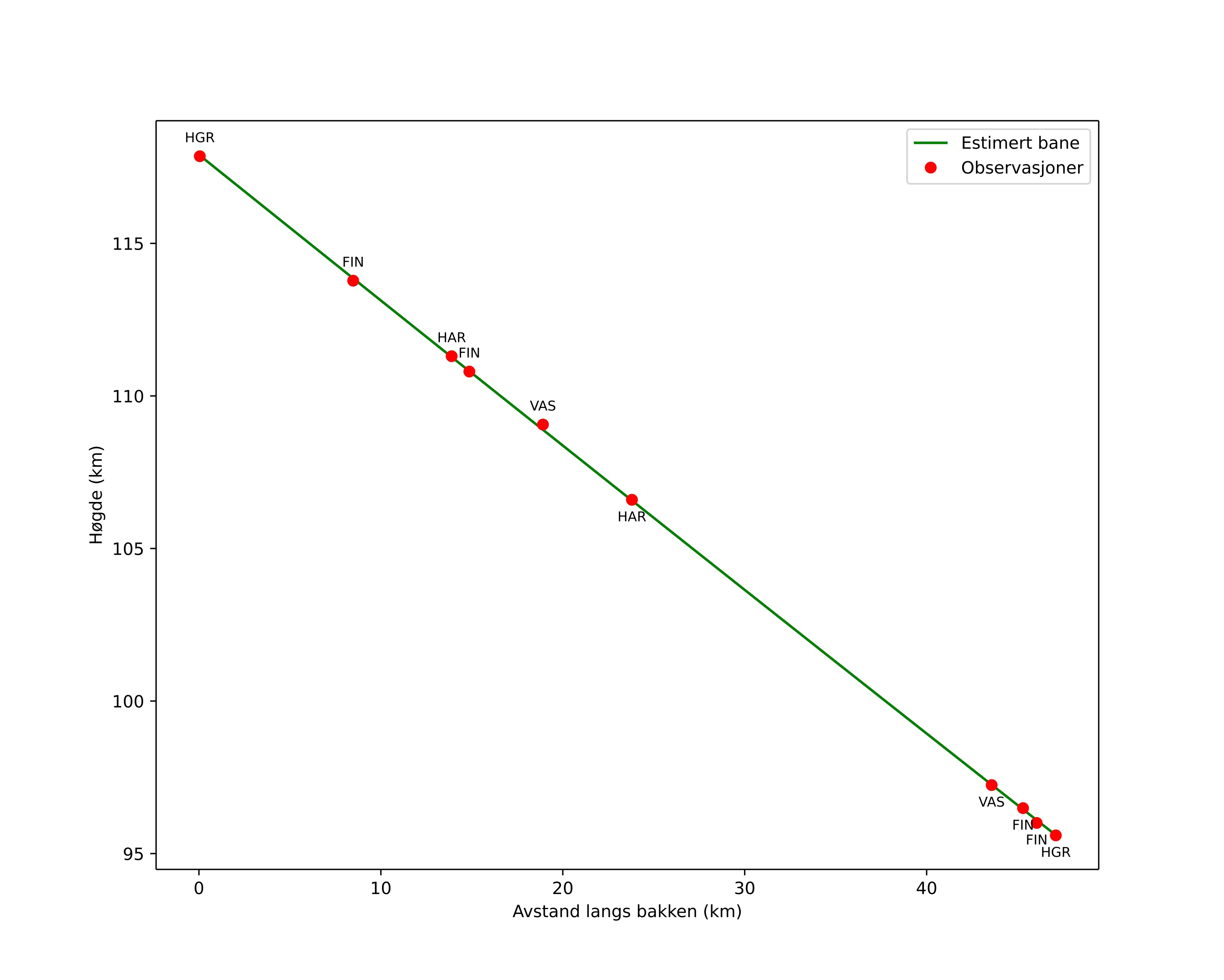
Atmosférická dráha meteoru:
| Počátečnà výška: | 117,9 km |
| Konečná výška: | 95,6 km |
| Počátečnà poloha: | 59,554N 13,698E |
| Konečná poloha: | 59,752N 12,957E |
| Směr: | 298,1° |
| Sklon: | 25,3° |
| VstupnĂ rychlost: | 41,3 km/s |
| Rektascenze radiantu: | 14:33 (218,3°) |
| Deklinace radiantu: | 7,7° |
| MeteorickĂ˝ roj: | sporadickĂ˝ |
|
Elementy dráhy meteoroidu:
| Vzdálenost v periheliu: | 0,134 AU |
| Excentricita: | 0,802 |
| Sklon dráhy: | 100,7° |
| Délka vzestupného uzlu: | 330,0° |
| Argument perihelia: | 340,5° |
| Střednà anomálie: | 272,3° |
| Epocha: | 2026 FEB 19 00:07:26 |
|