🇳🇴 🇬🇧 🇩🇪 🇨🇿 🇫🇮

Meteor over Önnestad 2026-02-20 01:42:32 UTC

KML-fil  |  Interaktivt kart

Kartet viser peilingene for meteoren. De lysere linjene viser retningene fra observasjonsstedene for meteorens tilsynekomst, og de mørkere linjene viser hvor den sist kunne sees. Den blå pila viser meteorens synlige ferd.

static map
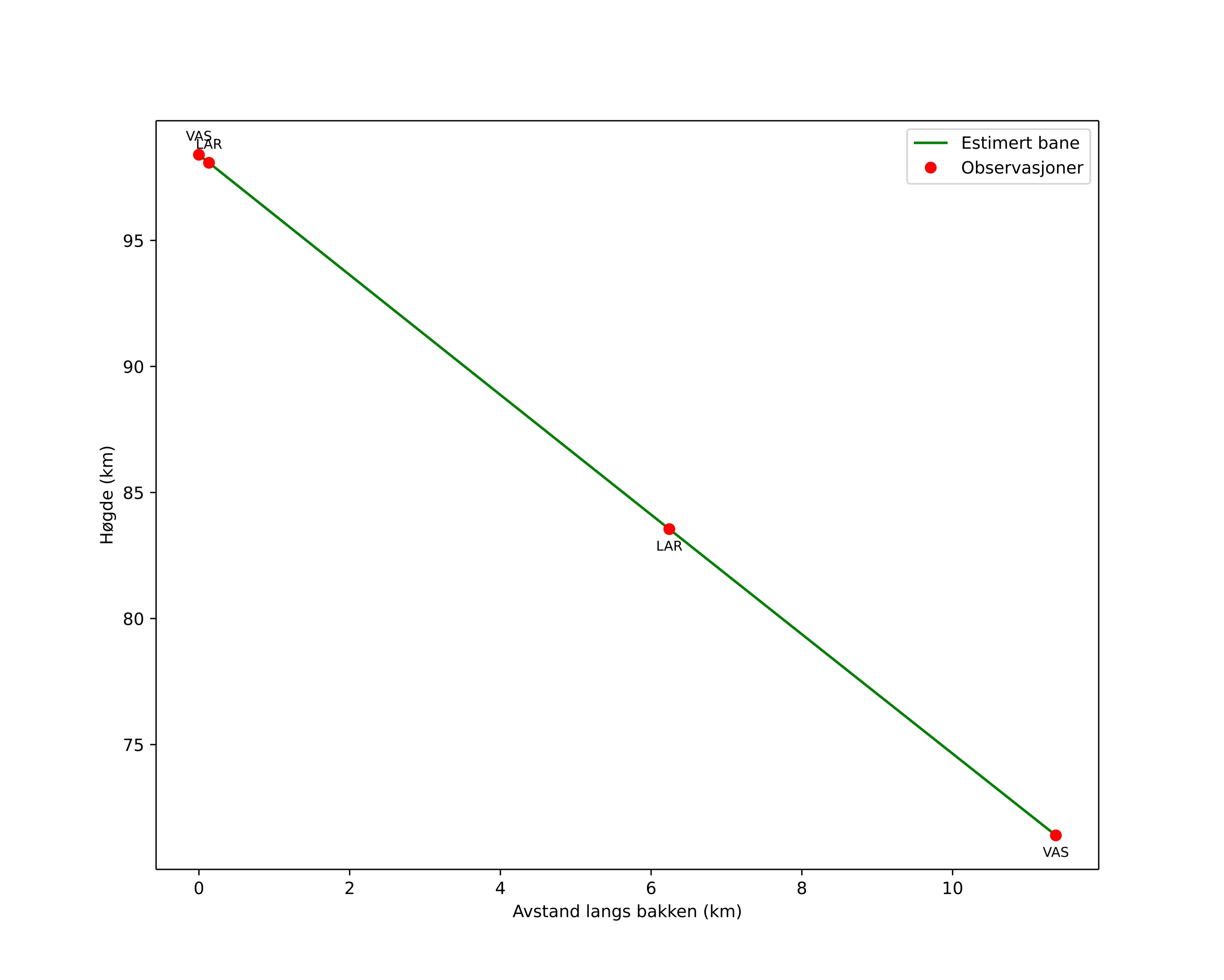
height profile
Meteorens atmosfæriske bane:
Starthøgde: 98,4 km
Slutthøgde: 71,4 km
Startposisjon: 55,980N 14,137E
Sluttposisjon: 56,044N 13,994E
Retning: 308,9°
Fallvinkel: 67,2°
Inngangshastighet: 61,9 km/s
Radiantens rektascensjon: 14:08 (212,1°)
Radiantens deklinasjon: 38,8°
Meteorsverm: sporadisk
Meteoroidens baneelement:
Perihelavstand: 0,745 AU
Eksentrisitet: 2,010
Inklinasjon: 85,3°
Knutelengde: 331,1°
Perihelargument: 230,8°
Midlere anomali: -36,2°
Epoke: 2026 FEB 20 01:42:32
orbit plot

Ikke-interaktivt plott | Interaktivt plott

position vs time
speed and acceleration

Larvik (LAR) cam3


preview
Videoer
• Gnomonisk
• Gnomonisk med koordinater
• Original
• Original med koordinater
Bilder
• Gnomonisk
• Gnomonisk med koordinater
• Original
• Original med koordinater
Tekstfiler
• Deteksjon
• Observasjon
• Koordinater
• Logg
Lysstyrke

Vasteras (VAS) cam4


preview
Videoer
• Gnomonisk
• Gnomonisk med koordinater
• Original
• Original med koordinater
Bilder
• Gnomonisk
• Gnomonisk med koordinater
• Original
• Original med koordinater
Tekstfiler
• Deteksjon
• Observasjon
• Koordinater
• Logg
Lysstyrke