🇳🇴 🇬🇧 🇩🇪 🇨🇿 🇫🇮

Meteor over Evjen 2026-02-20 04:08:36 UTC

KML-fil  |  Interaktivt kart

Kartet viser peilingene for meteoren. De lysere linjene viser retningene fra observasjonsstedene for meteorens tilsynekomst, og de mørkere linjene viser hvor den sist kunne sees. Den blå pila viser meteorens synlige ferd.

static map
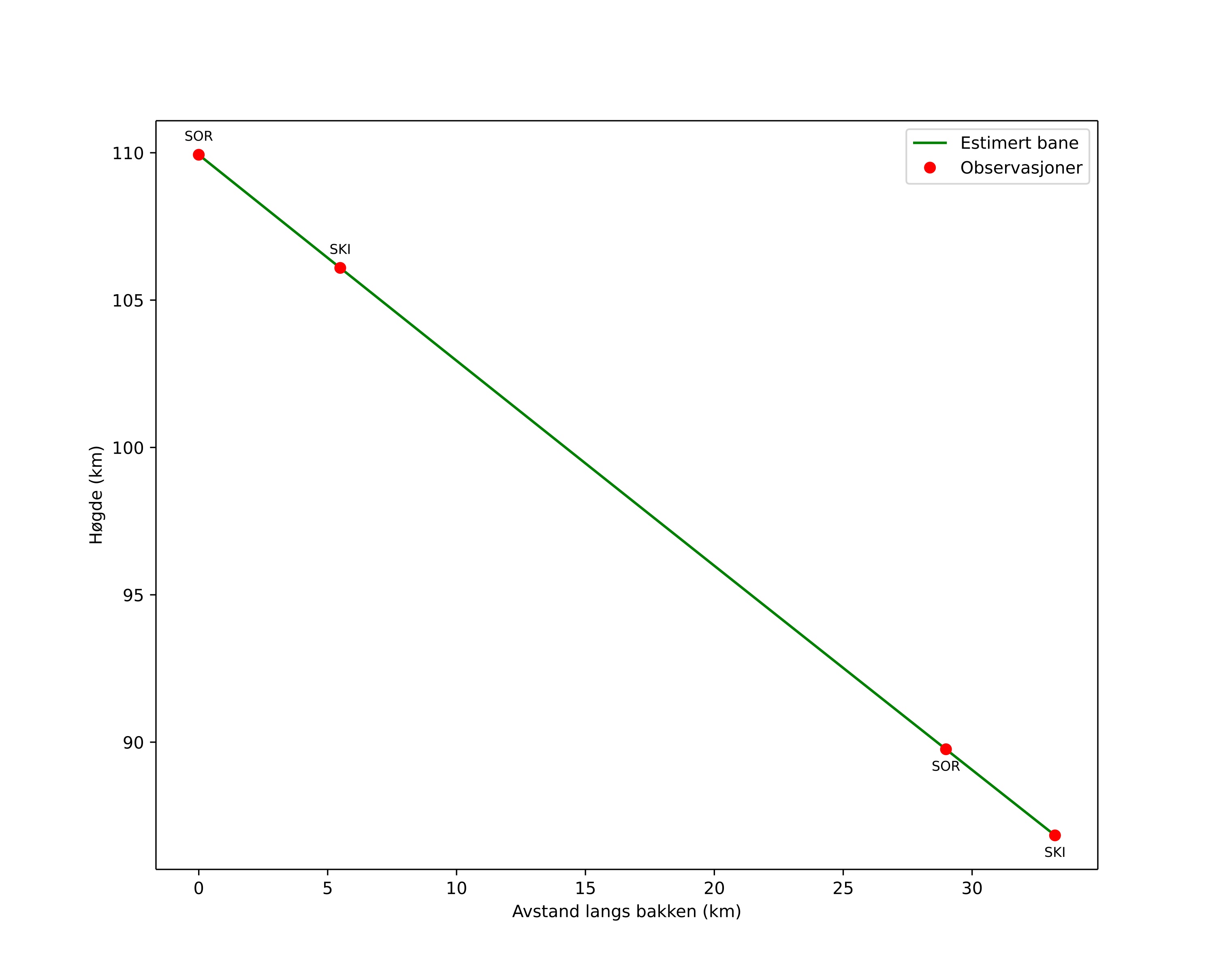
height profile
Meteorens atmosfæriske bane:
Starthøgde: 109,9 km
Slutthøgde: 86,8 km
Startposisjon: 68,168N 13,677E
Sluttposisjon: 68,461N 13,837E
Retning: 11,3°
Fallvinkel: 34,8°
Inngangshastighet: 59,8 km/s
Radiantens rektascensjon: 14:23 (215,8°)
Radiantens deklinasjon: 12,9°
Meteorsverm: sporadisk
Meteoroidens baneelement:
Perihelavstand: 0,494 AU
Eksentrisitet: 0,917
Inklinasjon: 120,0°
Knutelengde: 331,2°
Perihelargument: 272,7°
Midlere anomali: 357,3°
Epoke: 2026 FEB 20 04:08:36
orbit plot

Ikke-interaktivt plott | Interaktivt plott

position vs time
speed and acceleration

Skibotn (SKI) cam5


gnomonic
Videoer
• Gnomonisk
• Gnomonisk med koordinater
• Original
• Original med koordinater
Bilder
• Gnomonisk
• Gnomonisk med koordinater
• Original
• Original med koordinater
Tekstfiler
• Deteksjon
• Observasjon
• Koordinater
• Logg
Lysstyrke

Sorreisa (SOR) cam4


gnomonic
Videoer
• Gnomonisk
• Gnomonisk med koordinater
• Original
• Original med koordinater
Bilder
• Gnomonisk
• Gnomonisk med koordinater
• Original
• Original med koordinater
Tekstfiler
• Deteksjon
• Observasjon
• Koordinater
• Logg
Lysstyrke