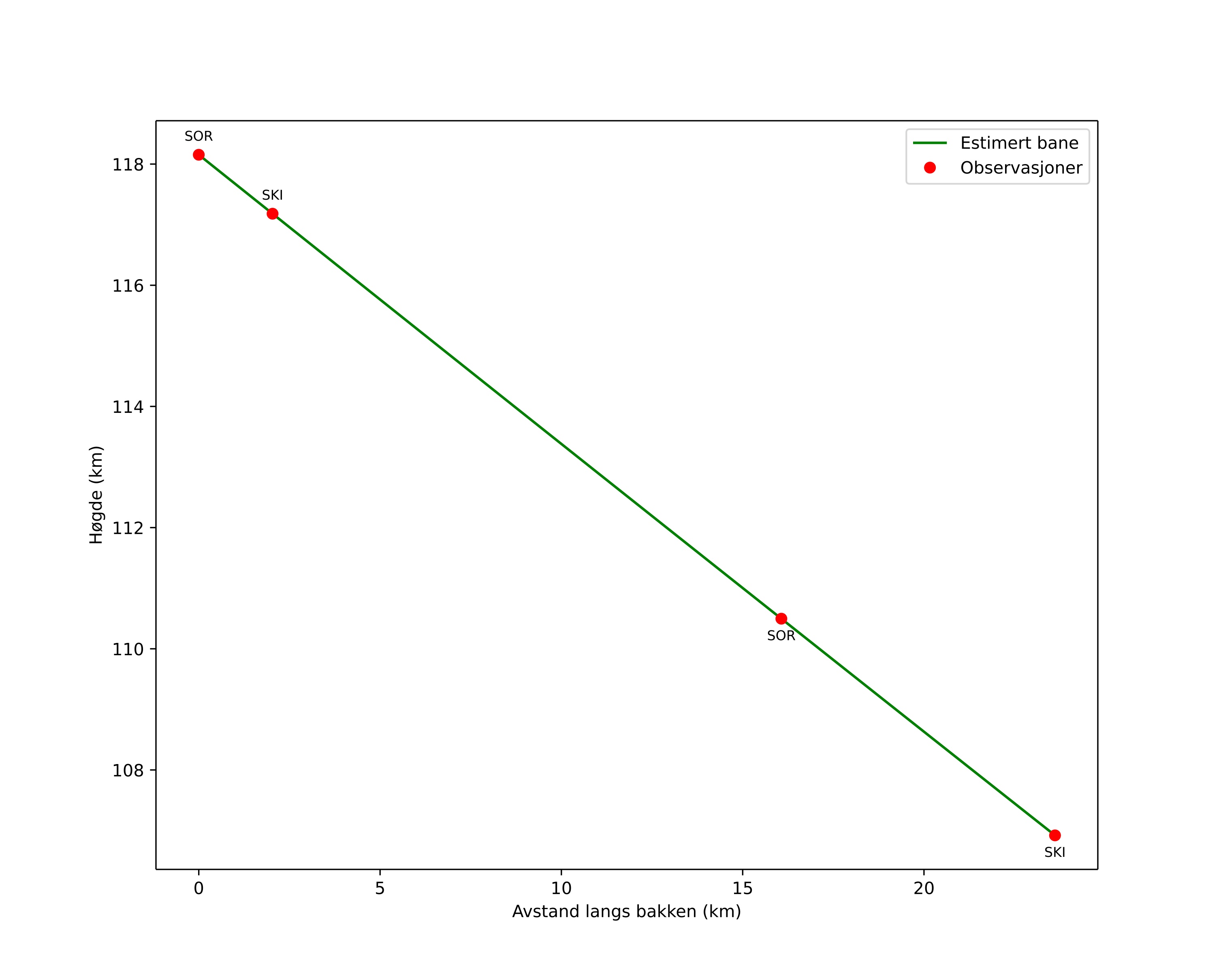
Atmosférická dráha meteoru:
| Počátečnà výška: | 118,2 km |
| Konečná výška: | 106,9 km |
| Počátečnà poloha: | 69,312N 19,944E |
| Konečná poloha: | 69,167N 19,505E |
| Směr: | 227,2° |
| Sklon: | 25,6° |
| VstupnĂ rychlost: | 48,9 km/s |
| Rektascenze radiantu: | 15:16 (229,2°) |
| Deklinace radiantu: | 37,6° |
| MeteorickĂ˝ roj: | sporadickĂ˝ |
|
Elementy dráhy meteoroidu:
| Vzdálenost v periheliu: | 0,859 AU |
| Excentricita: | 0,891 |
| Sklon dráhy: | 81,6° |
| Délka vzestupného uzlu: | 331,8° |
| Argument perihelia: | 223,8° |
| Střednà anomálie: | 358,7° |
| Epocha: | 2026 FEB 20 19:43:42 |
|