🇳🇴 🇬🇧 🇩🇪 🇨🇿 🇫🇮

Meteor over Bengtsfors 2026-02-22 02:07:18 UTC

KML-fil  |  Interaktivt kart

Kartet viser peilingene for meteoren. De lysere linjene viser retningene fra observasjonsstedene for meteorens tilsynekomst, og de mørkere linjene viser hvor den sist kunne sees. Den blå pila viser meteorens synlige ferd.

static map
height profile
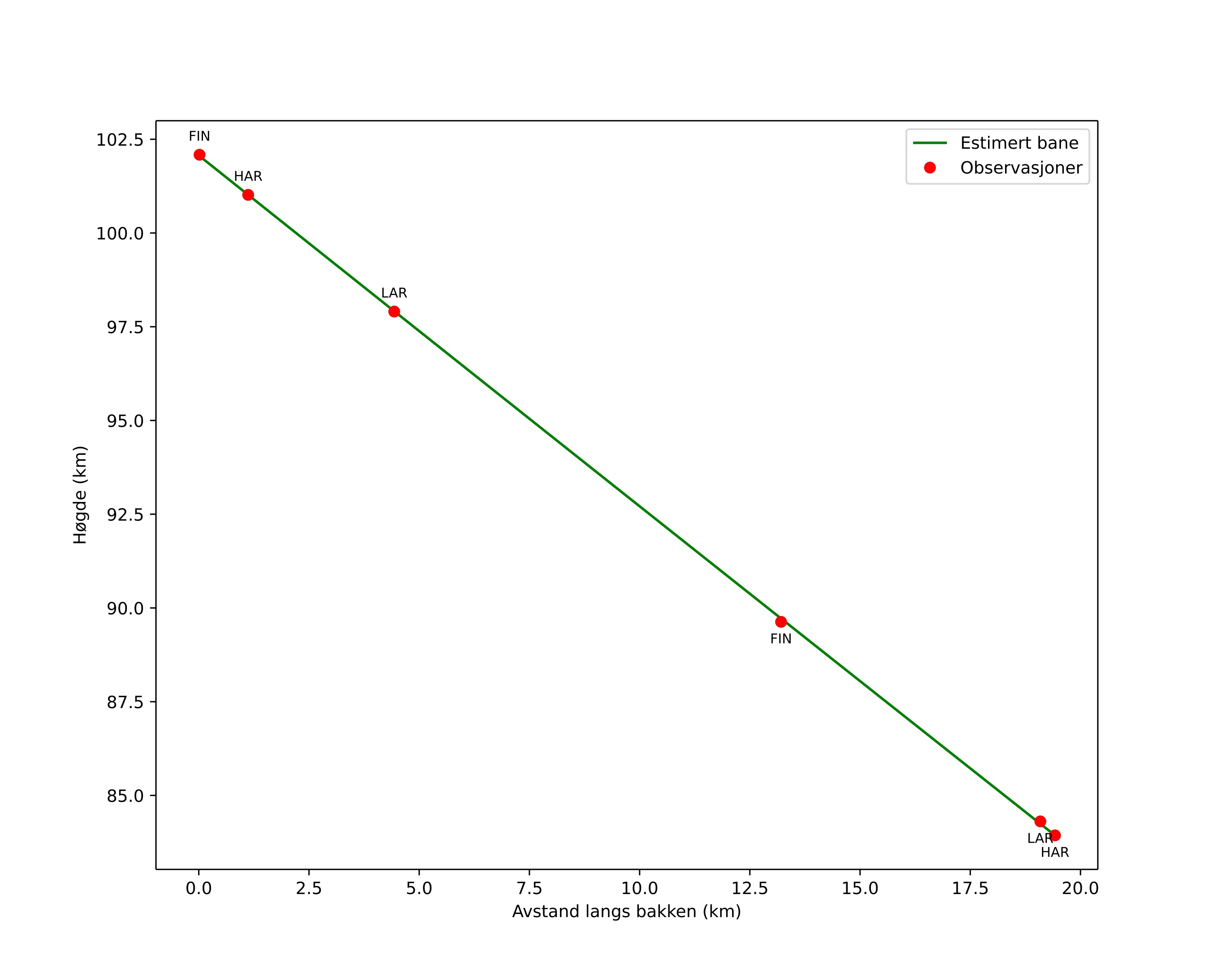
Meteorens atmosfæriske bane:
Starthøgde: 102,1 km
Slutthøgde: 83,9 km
Startposisjon: 59,082N 12,357E
Sluttposisjon: 59,142N 12,038E
Retning: 290,2°
Fallvinkel: 43,1°
Inngangshastighet: 45,3 km/s
Radiantens rektascensjon: 16:25 (246,3°)
Radiantens deklinasjon: 26,6°
Meteorsverm: sporadisk
Meteoroidens baneelement:
Perihelavstand: 0,972 AU
Eksentrisitet: 0,178
Inklinasjon: 88,8°
Knutelengde: 333,1°
Perihelargument: 207,6°
Midlere anomali: 340,8°
Epoke: 2026 FEB 22 02:07:18
orbit plot

Ikke-interaktivt plott | Interaktivt plott

position vs time
speed and acceleration

Finnskogen (FIN) cam3


preview
Videoer
• Gnomonisk
• Gnomonisk med koordinater
• Original
• Original med koordinater
Bilder
• Gnomonisk
• Gnomonisk med koordinater
• Original
• Original med koordinater
Tekstfiler
• Deteksjon
• Observasjon
• Koordinater
• Logg
Lysstyrke

Harestua (HAR) cam3


preview
Videoer
• Gnomonisk
• Gnomonisk med koordinater
• Original
• Original med koordinater
Bilder
• Gnomonisk
• Gnomonisk med koordinater
• Original
• Original med koordinater
Tekstfiler
• Deteksjon
• Observasjon
• Koordinater
• Logg
Lysstyrke

Larvik (LAR) cam2


preview
Videoer
• Gnomonisk
• Gnomonisk med koordinater
• Original
• Original med koordinater
Bilder
• Gnomonisk
• Gnomonisk med koordinater
• Original
• Original med koordinater
Tekstfiler
• Deteksjon
• Observasjon
• Koordinater
• Logg
Lysstyrke