🇳🇴 🇬🇧 🇩🇪 🇨🇿 🇫🇮

Meteor over Revetal 2026-02-23 23:39:50 UTC

KML-fil  |  Interaktivt kart

Kartet viser peilingene for meteoren. De lysere linjene viser retningene fra observasjonsstedene for meteorens tilsynekomst, og de mørkere linjene viser hvor den sist kunne sees. Den blå pila viser meteorens synlige ferd.

static map
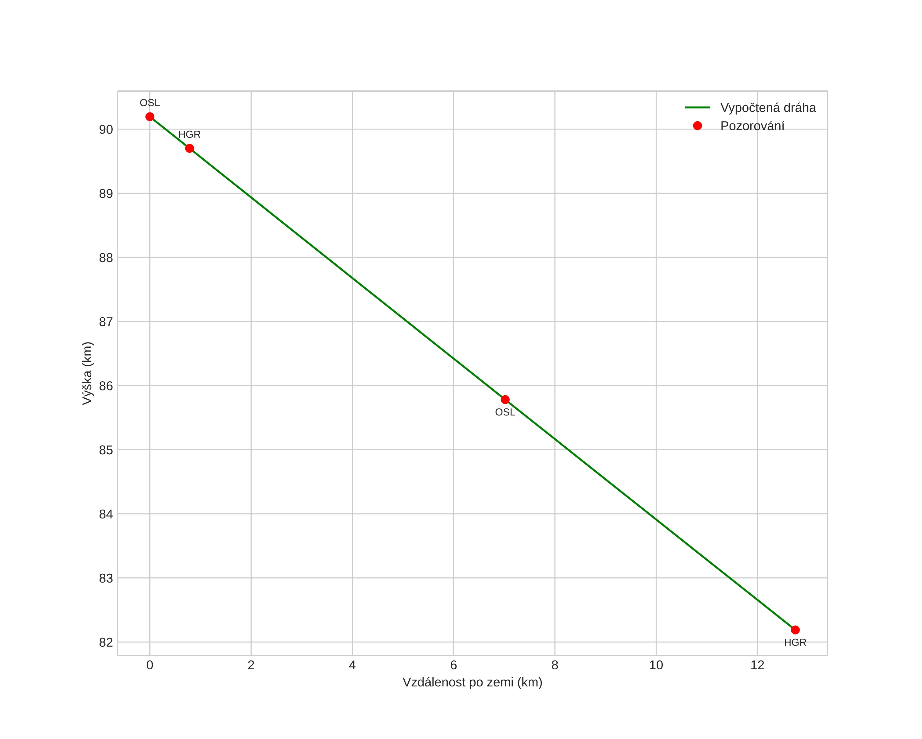
height profile
Meteorens atmosfæriske bane:
Starthøgde: 90,2 km
Slutthøgde: 82,2 km
Startposisjon: 59,488N 10,226E
Sluttposisjon: 59,380N 10,147E
Retning: 200,5°
Fallvinkel: 32,1°
Inngangshastighet: 18,1 km/s
Radiantens rektascensjon: 20:34 (308,6°)
Radiantens deklinasjon: 52,6°
Meteorsverm: sporadisk
Meteoroidens baneelement:
Perihelavstand: 0,926 AU
Eksentrisitet: 0,334
Inklinasjon: 22,9°
Knutelengde: 335,0°
Perihelargument: 138,2°
Midlere anomali: 20,6°
Epoke: 2026 FEB 23 23:39:50
orbit plot

Ikke-interaktivt plott | Interaktivt plott

position vs time
speed and acceleration

Hagar (HGR) cam5


gnomonic
Videoer
• Gnomonisk
• Gnomonisk med koordinater
• Original
• Original med koordinater
Bilder
• Gnomonisk
• Gnomonisk med koordinater
• Original
• Original med koordinater
Tekstfiler
• Deteksjon
• Observasjon
• Koordinater
• Logg
Lysstyrke

Voksenlia (OSL) cam7


gnomonic
Videoer
• Gnomonisk
• Gnomonisk med koordinater
• Original
• Original med koordinater
Bilder
• Gnomonisk
• Gnomonisk med koordinater
• Original
• Original med koordinater
Tekstfiler
• Deteksjon
• Observasjon
• Koordinater
• Logg
Lysstyrke