🇳🇴 🇬🇧 🇩🇪 🇨🇿 🇫🇮

Meteor over Finnsnes 2026-02-24 00:16:22 UTC

KML-fil  |  Interaktivt kart

Kartet viser peilingene for meteoren. De lysere linjene viser retningene fra observasjonsstedene for meteorens tilsynekomst, og de mørkere linjene viser hvor den sist kunne sees. Den blå pila viser meteorens synlige ferd.

static map
height profile
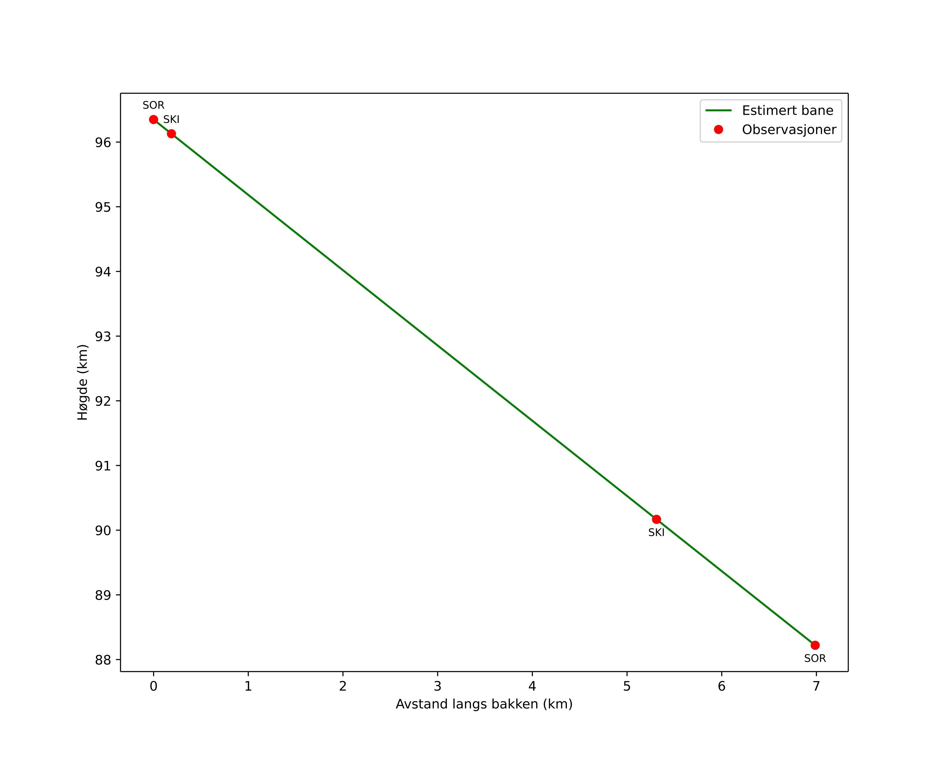
Meteorens atmosfæriske bane:
Starthøgde: 96,3 km
Slutthøgde: 88,2 km
Startposisjon: 69,704N 17,909E
Sluttposisjon: 69,678N 17,744E
Retning: 245,9°
Fallvinkel: 49,2°
Inngangshastighet: 24,6 km/s
Radiantens rektascensjon: 17:45 (266,4°)
Radiantens deklinasjon: 51,6°
Meteorsverm: sporadisk
Meteoroidens baneelement:
Perihelavstand: 0,978 AU
Eksentrisitet: 0,187
Inklinasjon: 40,5°
Knutelengde: 335,0°
Perihelargument: 157,5°
Midlere anomali: 15,3°
Epoke: 2026 FEB 24 00:16:22
orbit plot

Ikke-interaktivt plott | Interaktivt plott

position vs time
speed and acceleration

Skibotn (SKI) cam5


gnomonic
Videoer
• Gnomonisk
• Gnomonisk med koordinater
• Original
• Original med koordinater
Bilder
• Gnomonisk
• Gnomonisk med koordinater
• Original
• Original med koordinater
Tekstfiler
• Deteksjon
• Observasjon
• Koordinater
• Logg
Lysstyrke

Sorreisa (SOR) cam6


gnomonic
Videoer
• Gnomonisk
• Gnomonisk med koordinater
• Original
• Original med koordinater
Bilder
• Gnomonisk
• Gnomonisk med koordinater
• Original
• Original med koordinater
Tekstfiler
• Deteksjon
• Observasjon
• Koordinater
• Logg
Lysstyrke