Atmosférická dráha meteoru:
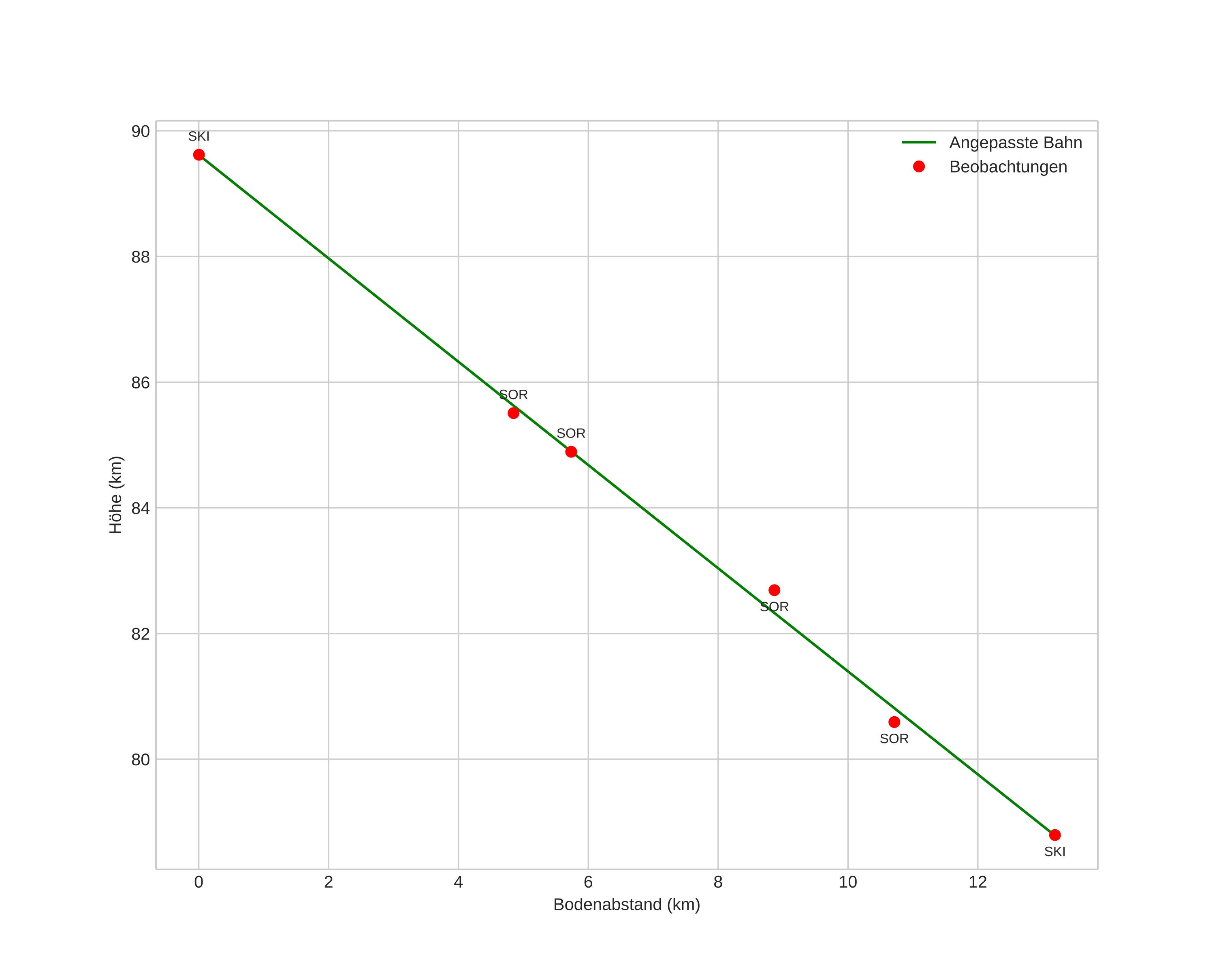
| Počátečnà výška: | 89,6 km |
| Konečná výška: | 78,8 km |
| Počátečnà poloha: | 68,652N 19,823E |
| Konečná poloha: | 68,639N 20,147E |
| Směr: | 96,1° |
| Sklon: | 39,3° |
| VstupnĂ rychlost: | 23,2 km/s |
| Rektascenze radiantu: | 10:38 (159,7°) |
| Deklinace radiantu: | 35,1° |
| MeteorickĂ˝ roj: | sporadickĂ˝ |
|
Elementy dráhy meteoroidu:
| Vzdálenost v periheliu: | 0,732 AU |
| Excentricita: | 0,744 |
| Sklon dráhy: | 14,5° |
| Délka vzestupného uzlu: | 336,2° |
| Argument perihelia: | 247,1° |
| Střednà anomálie: | 351,9° |
| Epocha: | 2026 FEB 25 04:23:39 |
|