🇳🇴 🇬🇧 🇩🇪 🇨🇿 🇫🇮

Meteor over Spetalen 2026-02-27 22:10:53 UTC

KML-fil  |  Interaktivt kart

Kartet viser peilingene for meteoren. De lysere linjene viser retningene fra observasjonsstedene for meteorens tilsynekomst, og de mørkere linjene viser hvor den sist kunne sees. Den blå pila viser meteorens synlige ferd.

static map
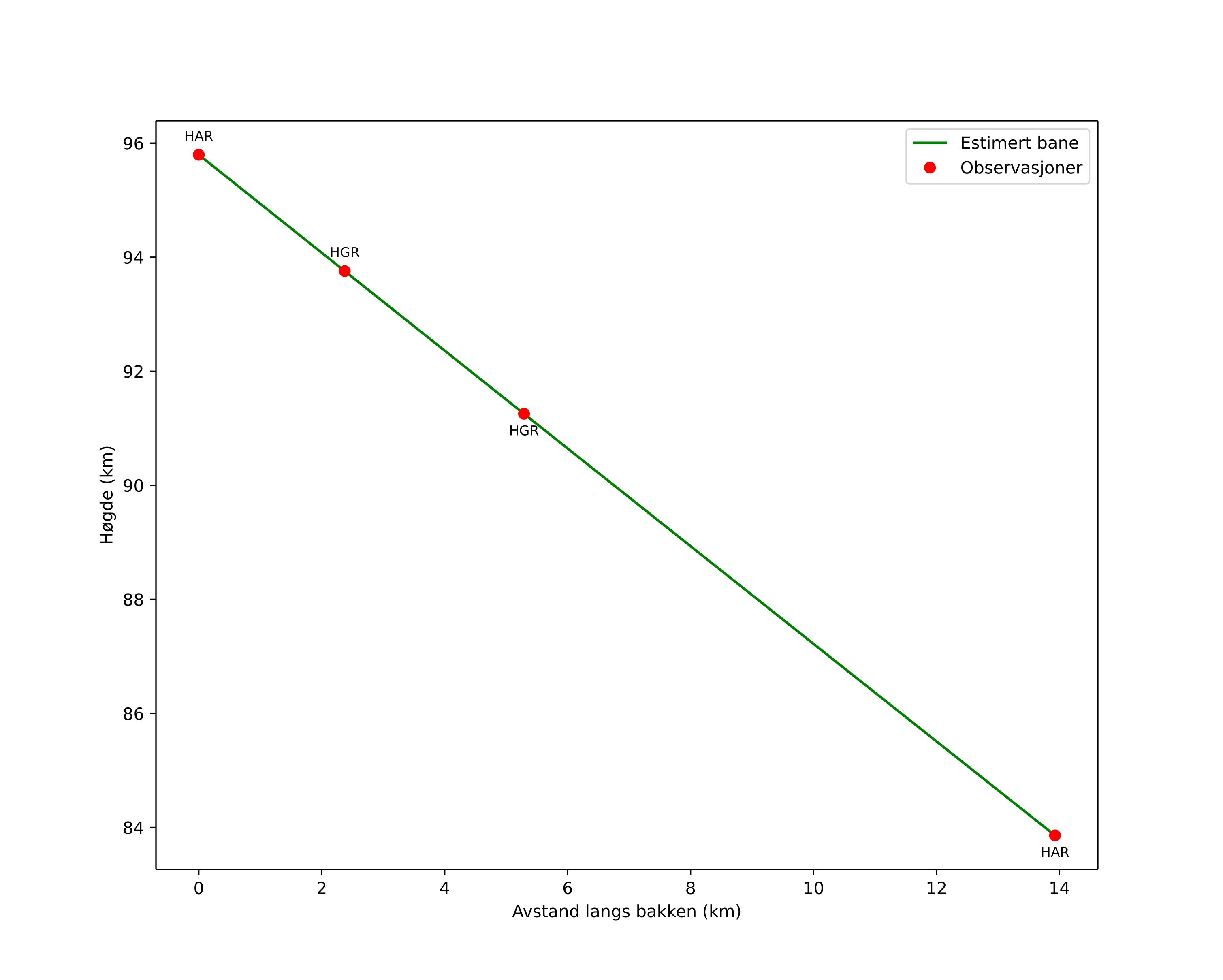
height profile
Meteorens atmosfæriske bane:
Starthøgde: 95,8 km
Slutthøgde: 83,9 km
Startposisjon: 59,864N 12,004E
Sluttposisjon: 59,971N 11,874E
Retning: 328,7°
Fallvinkel: 40,5°
Inngangshastighet: 32,5 km/s
Radiantens rektascensjon: 11:04 (166,1°)
Radiantens deklinasjon: 12,2°
Meteorsverm: sporadisk
Meteoroidens baneelement:
Perihelavstand: 0,457 AU
Eksentrisitet: 0,950
Inklinasjon: 6,1°
Knutelengde: 339,0°
Perihelargument: 276,1°
Midlere anomali: 358,6°
Epoke: 2026 FEB 27 22:10:53
orbit plot

Ikke-interaktivt plott | Interaktivt plott

position vs time
speed and acceleration

Hagar (HGR) cam4


preview
Videoer
• Gnomonisk
• Gnomonisk med koordinater
• Original
• Original med koordinater
Bilder
• Gnomonisk
• Gnomonisk med koordinater
• Original
• Original med koordinater
Tekstfiler
• Deteksjon
• Observasjon
• Koordinater
• Logg
Lysstyrke

Harestua (HAR) cam7


preview
Videoer
• Gnomonisk
• Gnomonisk med koordinater
• Original
• Original med koordinater
Bilder
• Gnomonisk
• Gnomonisk med koordinater
• Original
• Original med koordinater
Tekstfiler
• Deteksjon
• Observasjon
• Koordinater
• Logg
Lysstyrke