Atmosférická dráha meteoru:
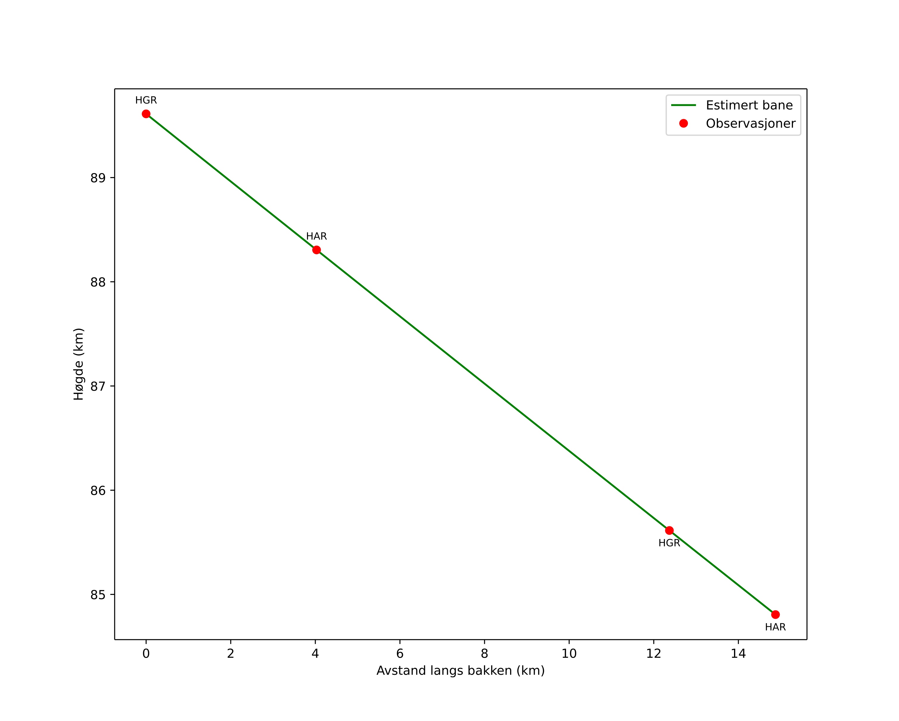
| Počátečnà výška: | 89,6 km |
| Konečná výška: | 84,8 km |
| Počátečnà poloha: | 61,323N 8,357E |
| Konečná poloha: | 61,447N 8,463E |
| Směr: | 22,3° |
| Sklon: | 17,9° |
| VstupnĂ rychlost: | 35,9 km/s |
| Rektascenze radiantu: | 12:30 (187,5°) |
| Deklinace radiantu: | -10,7° |
| MeteorickĂ˝ roj: | sporadickĂ˝ |
|
Elementy dráhy meteoroidu:
| Vzdálenost v periheliu: | 0,093 AU |
| Excentricita: | 0,914 |
| Sklon dráhy: | 18,7° |
| Délka vzestupného uzlu: | 159,2° |
| Argument perihelia: | 153,8° |
| Střednà anomálie: | 327,4° |
| Epocha: | 2026 FEB 28 02:55:07 |
|