🇳🇴 🇬🇧 🇩🇪 🇨🇿 🇫🇮

Meteor over Hov 2026-03-05 19:36:29 UTC

KML-fil  |  Interaktivt kart

Kartet viser peilingene for meteoren. De lysere linjene viser retningene fra observasjonsstedene for meteorens tilsynekomst, og de mørkere linjene viser hvor den sist kunne sees. Den blå pila viser meteorens synlige ferd.

static map
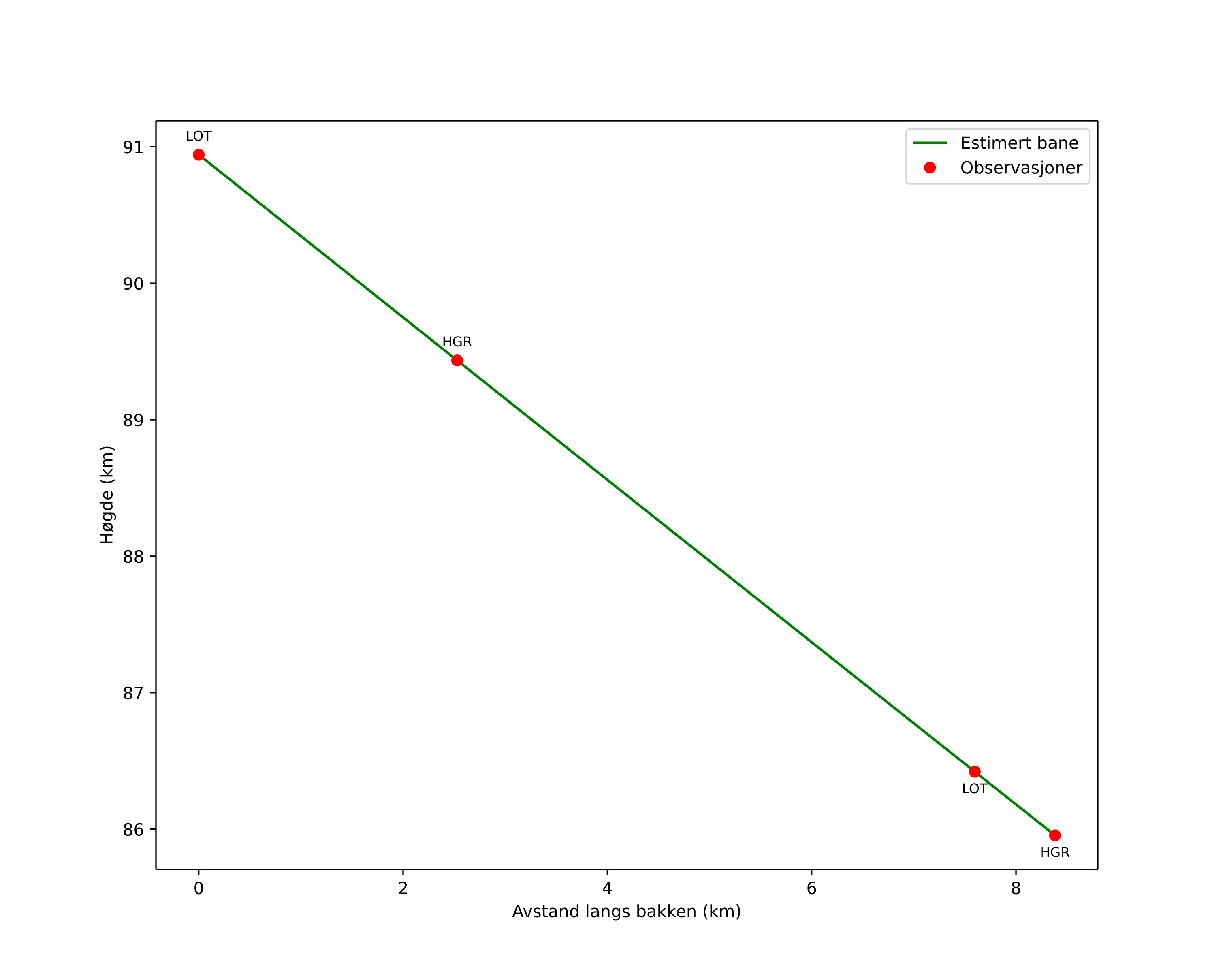
height profile
Meteorens atmosfæriske bane:
Starthøgde: 94,4 km
Slutthøgde: 84,4 km
Startposisjon: 61,045N 10,481E
Sluttposisjon: 60,905N 10,365E
Retning: 201,8°
Fallvinkel: 30,8°
Inngangshastighet: 49,6 km/s
Radiantens rektascensjon: 16:53 (253,4°)
Radiantens deklinasjon: 55,9°
Meteorsverm: sporadisk
Meteoroidens baneelement:
Perihelavstand: 0,985 AU
Eksentrisitet: 1,953
Inklinasjon: 66,6°
Knutelengde: 344,9°
Perihelargument: 188,3°
Midlere anomali: -4,5°
Epoke: 2026 MAR 05 19:36:29
orbit plot

Ikke-interaktivt plott | Interaktivt plott

position vs time
speed and acceleration

Hagar (HGR) cam7


preview
Videoer
• Gnomonisk
• Gnomonisk med koordinater
• Original
• Original med koordinater
Bilder
• Gnomonisk
• Gnomonisk med koordinater
• Original
• Original med koordinater
Tekstfiler
• Deteksjon
• Observasjon
• Koordinater
• Logg
Lysstyrke

Loten (LOT) cam6


preview
Videoer
• Gnomonisk
• Gnomonisk med koordinater
• Original
• Original med koordinater
Bilder
• Gnomonisk
• Gnomonisk med koordinater
• Original
• Original med koordinater
Tekstfiler
• Deteksjon
• Observasjon
• Koordinater
• Logg
Lysstyrke