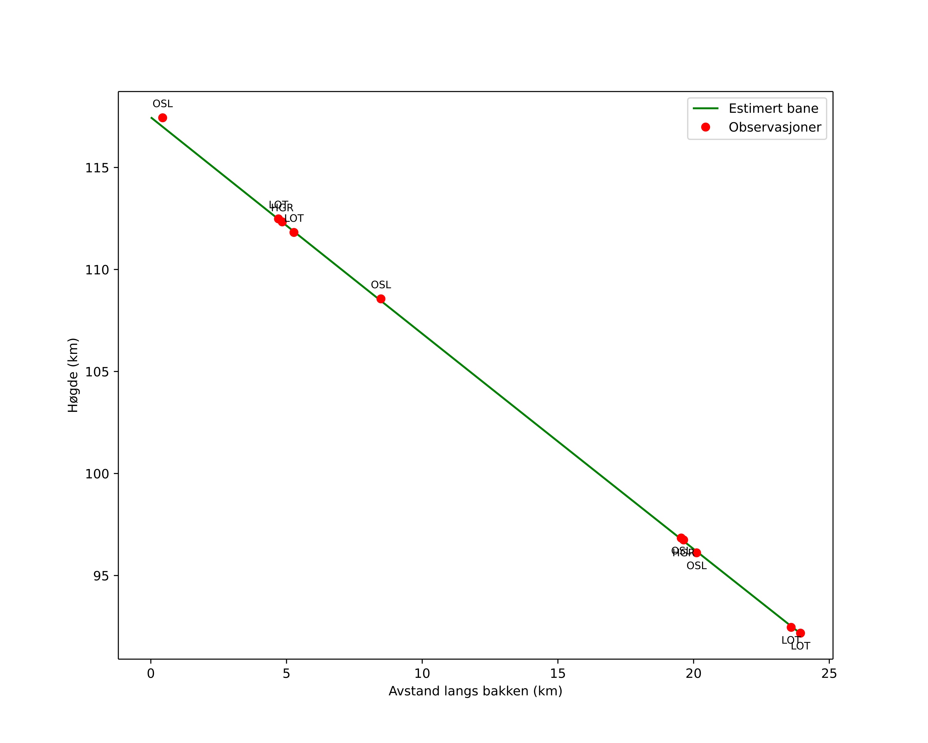
Atmosférická dráha meteoru:
| Počátečnà výška: | 115,7 km |
| Konečná výška: | 92,3 km |
| Počátečnà poloha: | 59,888N 8,908E |
| Konečná poloha: | 59,847N 8,528E |
| Směr: | 257,9° |
| Sklon: | 47,2° |
| VstupnĂ rychlost: | 39,4 km/s |
| Rektascenze radiantu: | 15:32 (233,1°) |
| Deklinace radiantu: | 44,5° |
| MeteorickĂ˝ roj: | sporadickĂ˝ |
|
Elementy dráhy meteoroidu:
| Vzdálenost v periheliu: | 0,866 AU |
| Excentricita: | 0,740 |
| Sklon dráhy: | 62,7° |
| Délka vzestupného uzlu: | 345,0° |
| Argument perihelia: | 225,4° |
| Střednà anomálie: | 355,0° |
| Epocha: | 2026 MAR 05 23:21:28 |
|