🇳🇴 🇬🇧 🇩🇪 🇨🇿 🇫🇮

Meteor over Torsby 2026-03-06 01:02:38 UTC

KML-fil  |  Interaktivt kart

Kartet viser peilingene for meteoren. De lysere linjene viser retningene fra observasjonsstedene for meteorens tilsynekomst, og de mørkere linjene viser hvor den sist kunne sees. Den blå pila viser meteorens synlige ferd.

static map
height profile
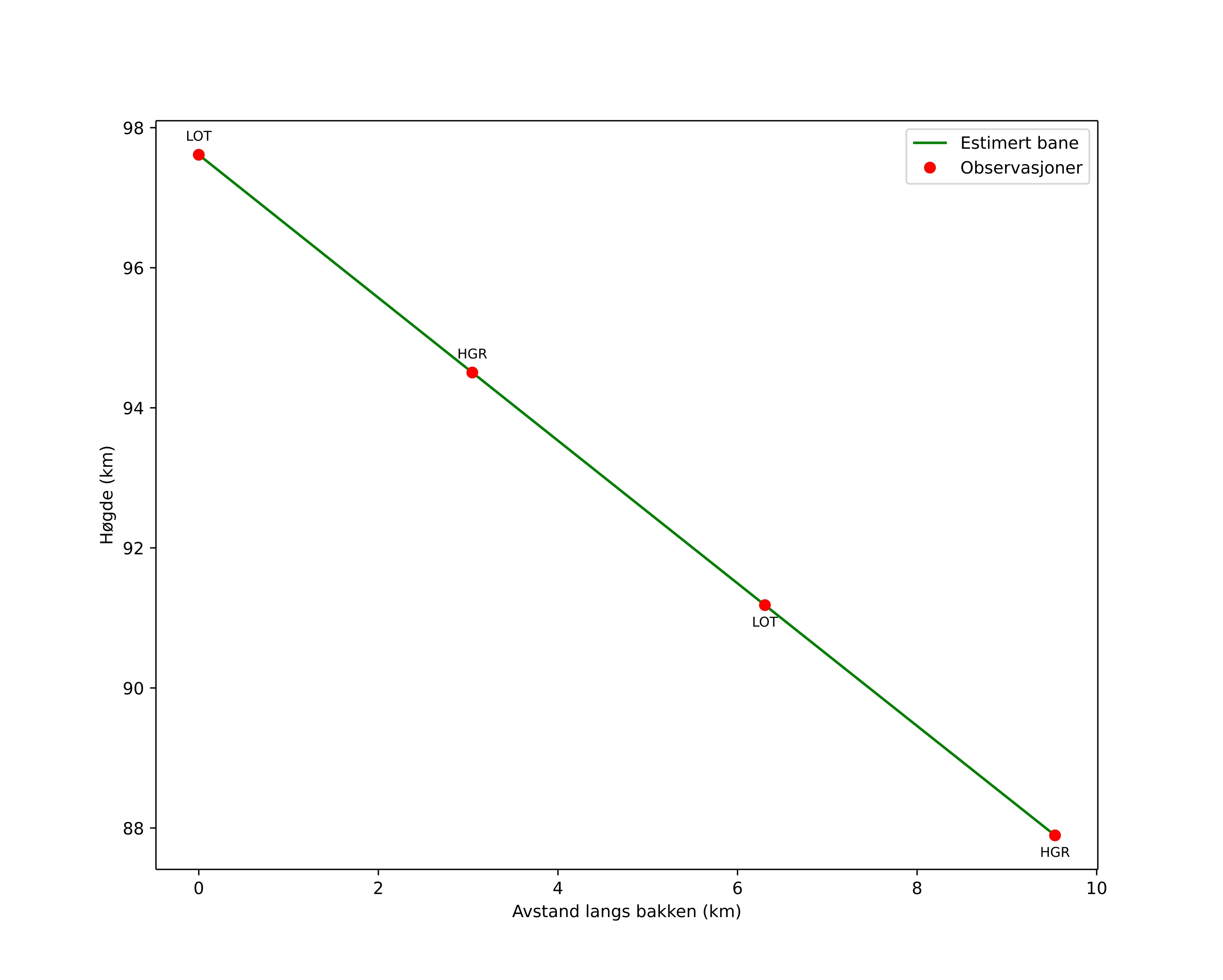
Meteorens atmosfæriske bane:
Starthøgde: 97,7 km
Slutthøgde: 87,5 km
Startposisjon: 60,677N 13,196E
Sluttposisjon: 60,623N 13,058E
Retning: 231,3°
Fallvinkel: 46,6°
Inngangshastighet: 45,1 km/s
Radiantens rektascensjon: 19:00 (285,2°)
Radiantens deklinasjon: 57,2°
Meteorsverm: sporadisk
Meteoroidens baneelement:
Perihelavstand: 0,972 AU
Eksentrisitet: 1,820
Inklinasjon: 59,2°
Knutelengde: 345,1°
Perihelargument: 165,8°
Midlere anomali: 6,4°
Epoke: 2026 MAR 06 01:02:38
orbit plot

Ikke-interaktivt plott | Interaktivt plott

position vs time
speed and acceleration

Hagar (HGR) cam3


preview
Videoer
• Gnomonisk
• Gnomonisk med koordinater
• Original
• Original med koordinater
Bilder
• Gnomonisk
• Gnomonisk med koordinater
• Original
• Original med koordinater
Tekstfiler
• Deteksjon
• Observasjon
• Koordinater
• Logg
Lysstyrke

Loten (LOT) cam2


preview
Videoer
• Gnomonisk
• Gnomonisk med koordinater
• Original
• Original med koordinater
Bilder
• Gnomonisk
• Gnomonisk med koordinater
• Original
• Original med koordinater
Tekstfiler
• Deteksjon
• Observasjon
• Koordinater
• Logg
Lysstyrke