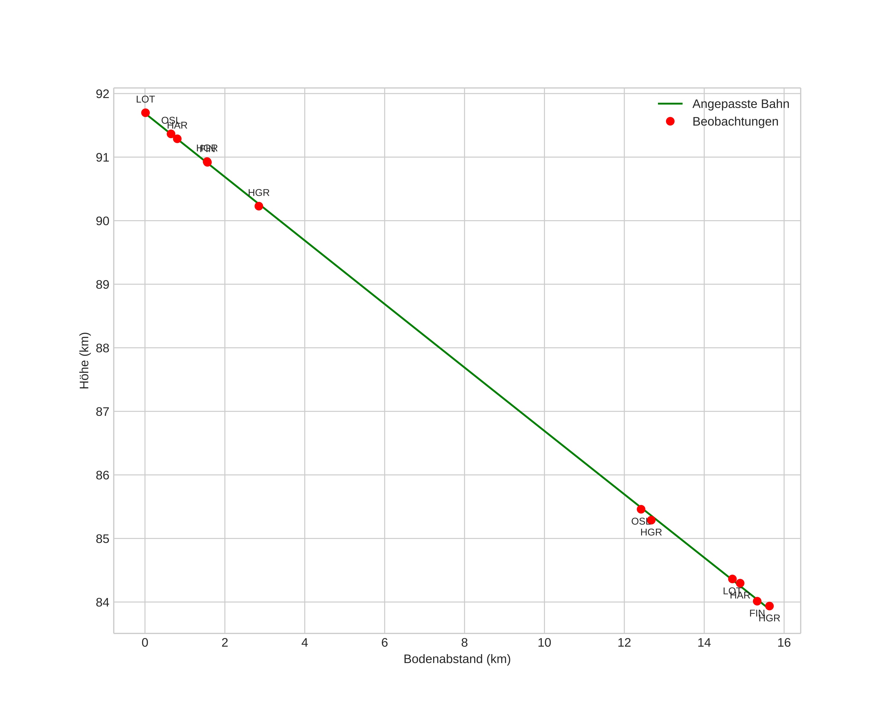
Atmosférická dráha meteoru:
| Počátečnà výška: | 91,7 km |
| Konečná výška: | 83,9 km |
| Počátečnà poloha: | 60,355N 12,282E |
| Konečná poloha: | 60,449N 12,478E |
| Směr: | 45,8° |
| Sklon: | 27,5° |
| VstupnĂ rychlost: | 46,2 km/s |
| Rektascenze radiantu: | 12:51 (193,0°) |
| Deklinace radiantu: | 4,6° |
| MeteorickĂ˝ roj: | sporadickĂ˝ |
|
Elementy dráhy meteoroidu:
| Vzdálenost v periheliu: | 0,101 AU |
| Excentricita: | 0,998 |
| Sklon dráhy: | 32,9° |
| Délka vzestupného uzlu: | 345,2° |
| Argument perihelia: | 323,1° |
| Střednà anomálie: | 359,9° |
| Epocha: | 2026 MAR 06 03:49:57 |
|