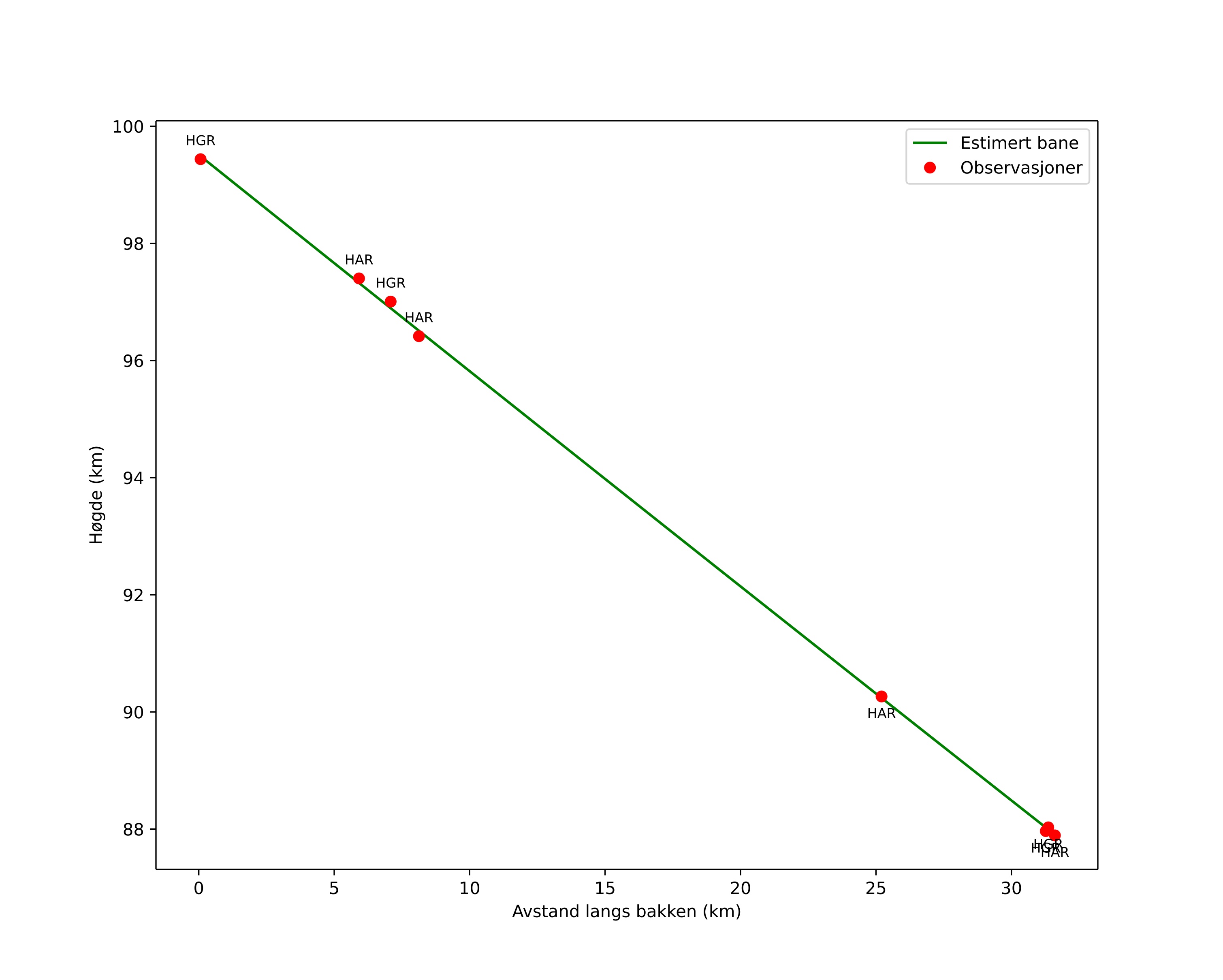
Atmosphärische Bahn des Meteors:
| Anfangshöhe: | 98,6 km |
| Endhöhe: | 87,5 km |
| Startposition: | 59,229N 10,716E |
| Endposition: | 59,151N 10,273E |
| Richtung: | 251,2° |
| Neigungswinkel: | 22,6° |
| Eintrittsgeschwindigkeit: | 44,0 km/s |
| Rektaszension des Radianten: | 13:33 (203,3°) |
| Deklination des Radianten: | 28,0° |
| Meteorstrom: | sporadisch |
|
Bahnelemente des Meteoroiden:
| Periheldistanz: | 0,481 AU |
| Exzentrizität: | 1,078 |
| Inklination: | 53,5° |
| Länge des aufsteigenden Knotens: | 348,9° |
| Argument des Perihels: | 269,6° |
| Mittlere Anomalie: | -2,4° |
| Epoche: | 2026 MAR 09 19:23:06 |
|