🇳🇴 🇬🇧 🇩🇪 🇨🇿 🇫🇮

Meteor over Malung 2026-03-09 21:03:30 UTC

KML-fil  |  Interaktivt kart

Kartet viser peilingene for meteoren. De lysere linjene viser retningene fra observasjonsstedene for meteorens tilsynekomst, og de mørkere linjene viser hvor den sist kunne sees. Den blå pila viser meteorens synlige ferd.

static map
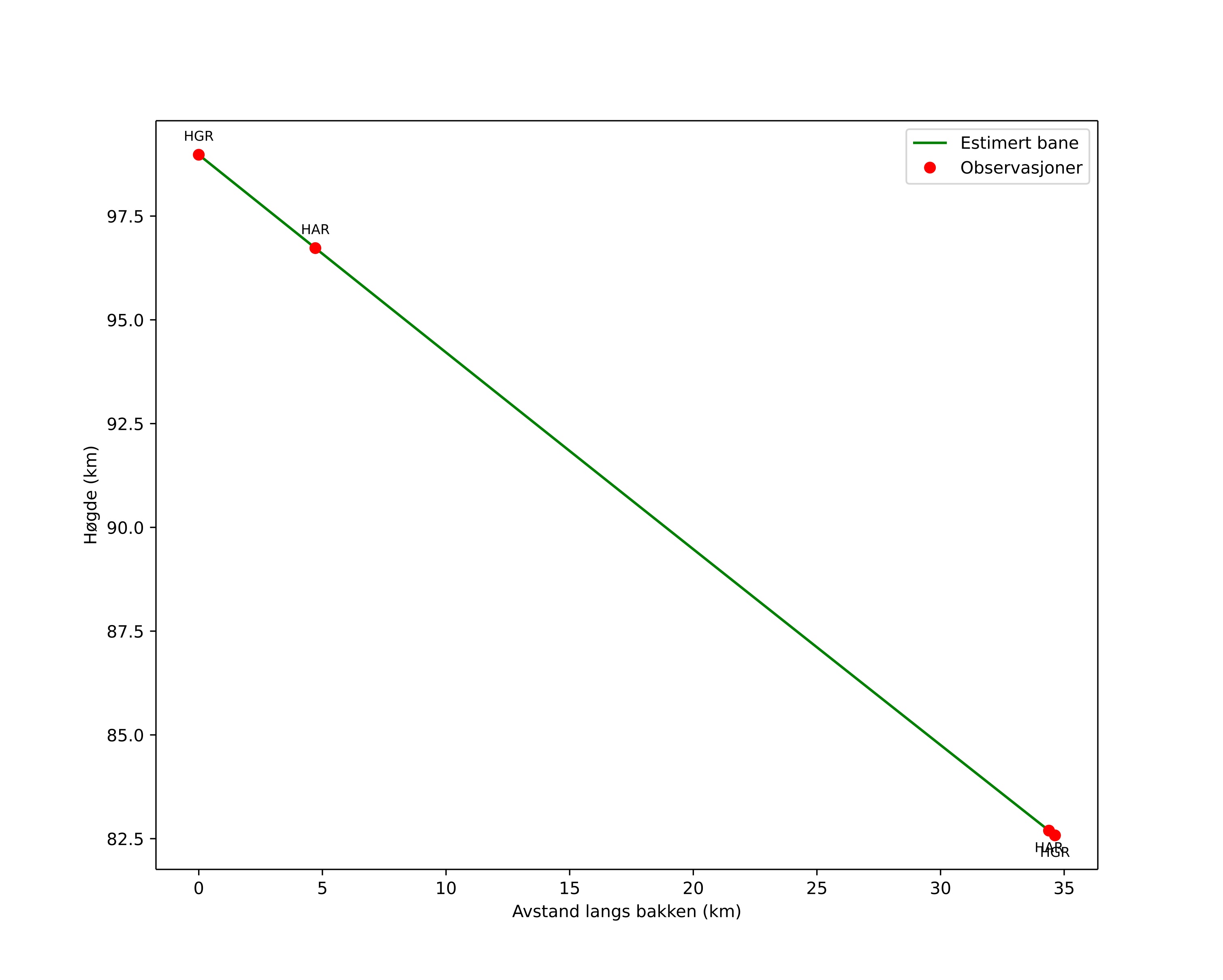
height profile
Meteorens atmosfæriske bane:
Starthøgde: 97,0 km
Slutthøgde: 85,8 km
Startposisjon: 60,410N 14,080E
Sluttposisjon: 60,586N 13,752E
Retning: 317,4°
Fallvinkel: 22,9°
Inngangshastighet: 31,4 km/s
Radiantens rektascensjon: 11:44 (176,1°)
Radiantens deklinasjon: -2,1°
Meteorsverm: sporadisk
Meteoroidens baneelement:
Perihelavstand: 0,399 AU
Eksentrisitet: 0,858
Inklinasjon: 3,9°
Knutelengde: 168,9°
Perihelargument: 107,2°
Midlere anomali: 351,2°
Epoke: 2026 MAR 09 21:03:30
orbit plot

Ikke-interaktivt plott | Interaktivt plott

position vs time
speed and acceleration

Hagar (HGR) cam3


preview
Videoer
• Gnomonisk
• Gnomonisk med koordinater
• Original
• Original med koordinater
Bilder
• Gnomonisk
• Gnomonisk med koordinater
• Original
• Original med koordinater
Tekstfiler
• Deteksjon
• Observasjon
• Koordinater
• Logg
Lysstyrke

Harestua (HAR) cam2


preview
Videoer
• Gnomonisk
• Gnomonisk med koordinater
• Original
• Original med koordinater
Bilder
• Gnomonisk
• Gnomonisk med koordinater
• Original
• Original med koordinater
Tekstfiler
• Deteksjon
• Observasjon
• Koordinater
• Logg
Lysstyrke