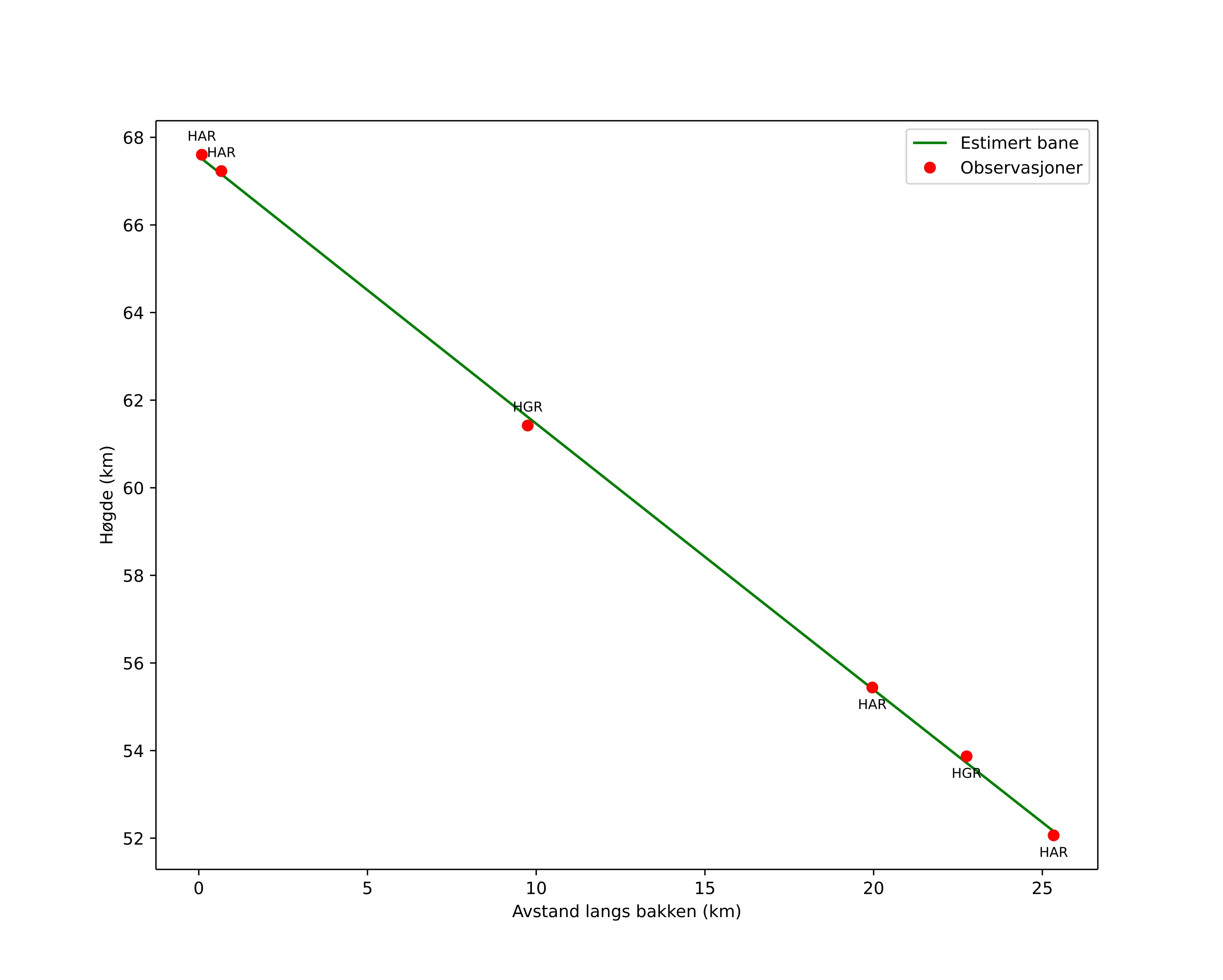
Atmosférická dráha meteoru:
| Počátečnà výška: | 68,6 km |
| Konečná výška: | 53,6 km |
| Počátečnà poloha: | 61,019N 10,027E |
| Konečná poloha: | 61,258N 10,067E |
| Směr: | 4,6° |
| Sklon: | 29,4° |
| VstupnĂ rychlost: | 15,3 km/s |
| Rektascenze radiantu: | 09:20 (140,1°) |
| Deklinace radiantu: | -11,8° |
| MeteorickĂ˝ roj: | sporadickĂ˝ |
|
Elementy dráhy meteoroidu:
| Vzdálenost v periheliu: | 0,896 AU |
| Excentricita: | 0,426 |
| Sklon dráhy: | 7,8° |
| Délka vzestupného uzlu: | 169,0° |
| Argument perihelia: | 47,7° |
| Střednà anomálie: | 341,4° |
| Epocha: | 2026 MAR 09 21:53:14 |
|