🇳🇴 🇬🇧 🇩🇪 🇨🇿 🇫🇮

Meteor over Setermoen 2026-03-11 18:34:29 UTC

KML-fil  |  Interaktivt kart

Kartet viser peilingene for meteoren. De lysere linjene viser retningene fra observasjonsstedene for meteorens tilsynekomst, og de mørkere linjene viser hvor den sist kunne sees. Den blå pila viser meteorens synlige ferd.

static map
height profile
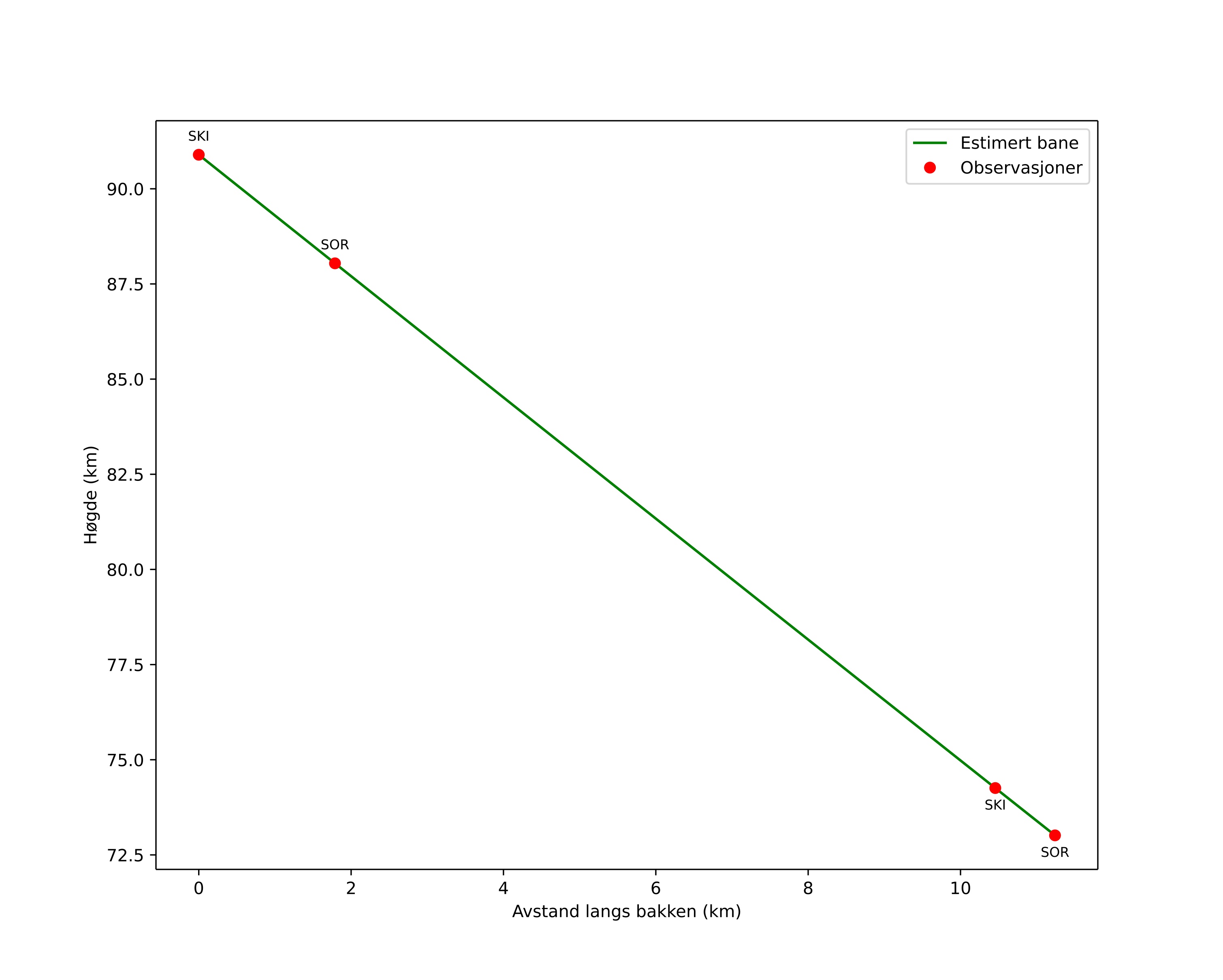
Meteorens atmosfæriske bane:
Starthøgde: 90,9 km
Slutthøgde: 73,0 km
Startposisjon: 68,441N 18,701E
Sluttposisjon: 68,383N 18,498E
Retning: 232,3°
Fallvinkel: 59,5°
Inngangshastighet: 22,5 km/s
Radiantens rektascensjon: 13:03 (195,9°)
Radiantens deklinasjon: 65,3°
Meteorsverm: sporadisk
Meteoroidens baneelement:
Perihelavstand: 0,940 AU
Eksentrisitet: 0,686
Inklinasjon: 26,9°
Knutelengde: 350,8°
Perihelargument: 209,7°
Midlere anomali: 355,8°
Epoke: 2026 MAR 11 18:34:29
orbit plot

Ikke-interaktivt plott | Interaktivt plott

position vs time
speed and acceleration

Skibotn (SKI) cam4


preview
Videoer
• Gnomonisk
• Gnomonisk med koordinater
• Original
• Original med koordinater
Bilder
• Gnomonisk
• Gnomonisk med koordinater
• Original
• Original med koordinater
Tekstfiler
• Deteksjon
• Observasjon
• Koordinater
• Logg
Lysstyrke

Sorreisa (SOR) cam3


preview
Videoer
• Gnomonisk
• Gnomonisk med koordinater
• Original
• Original med koordinater
Bilder
• Gnomonisk
• Gnomonisk med koordinater
• Original
• Original med koordinater
Tekstfiler
• Deteksjon
• Observasjon
• Koordinater
• Logg
Lysstyrke