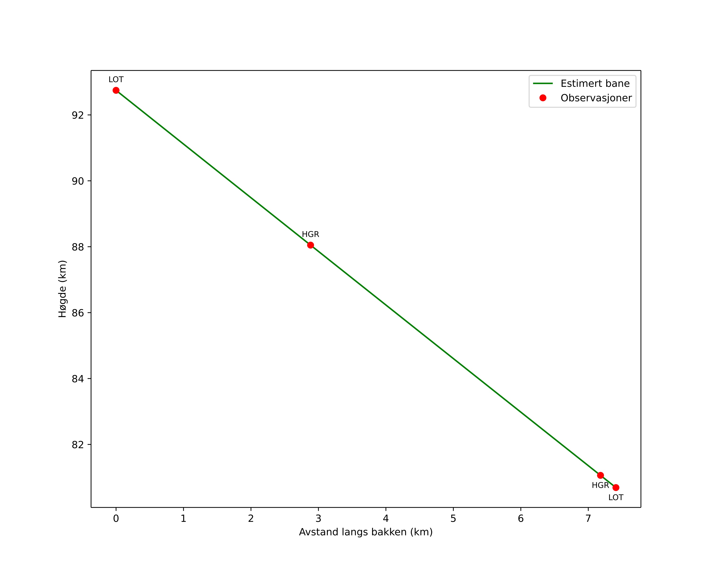
Atmosférická dráha meteoru:
| Počátečnà výška: | 91,7 km |
| Konečná výška: | 79,6 km |
| Počátečnà poloha: | 60,616N 11,753E |
| Konečná poloha: | 60,556N 11,701E |
| Směr: | 203,0° |
| Sklon: | 59,1° |
| VstupnĂ rychlost: | 22,8 km/s |
| Rektascenze radiantu: | 19:03 (285,9°) |
| Deklinace radiantu: | 78,2° |
| MeteorickĂ˝ roj: | sporadickĂ˝ |
|
Elementy dráhy meteoroidu:
| Vzdálenost v periheliu: | 0,993 AU |
| Excentricita: | 0,736 |
| Sklon dráhy: | 29,5° |
| Délka vzestupného uzlu: | 351,1° |
| Argument perihelia: | 176,8° |
| Střednà anomálie: | 0,3° |
| Epocha: | 2026 MAR 12 00:29:50 |
|